



















Preview text:
Tập học Vật lý Thống kê của Phúc Đăng
1.1. Nhiệt độ và sự cân bằng nhiệt
1.1.2. Sự nở vì nhiệt Dãn nở dài
L=L (1+α ∆T ) Dãn nở khối
V =V (1+ β ∆ T ) 0
Ví dụ 1: Một bình thủy tinh có thể tích 200 cm 3được đổ đầy thủy ngân ở 20 C. o Khi
nhiệt độ của hệ tăng đến 100 C o
thì thủy ngân có tràn không? Nếu có, thể tích thủy ngân bị
tràn ra là bao nhiêu? Biết hệ số giãn nở thể tích của thủy tinh là 1,2.10-5 K-1 và thủy ngân là 18.10-5 K-1.
V =V (1+ β ∆ T ) 0
V =V + V β ∆ T 0 0
Giải bằng cách trực tiếp dùng công thức chênh lệch độ tăng thể tích khối: ∆ V =V
−V =(V +V β ∆T )−(V +V β ∆ T ) TN TT 0 0 TN 0 0 TT
¿ V β ∆ T −V β ∆ T 0 TN 0 TT
¿ ( β −β )V ∆ T TN TT 0 ¿ …c m3
1.2 Tính chất nhiệt 1.2.1. Nhiệt lượng
Q=mc ∆ T =mc ∆ t ; đơn vị : kg ∙( J )∙ K=J= 1 cal kg ∙ K 4,186
Nhiệt dung riêng: Q=mc ∆ T m=1 ; ∆ T =11∙ c ∙1=Q ≡ c →
Nhiệt dung riêng của một chất
C=μc ( J );μ:khốilượng1molchất mol ∙ K
Nhận nhiệt Q>0 ; tỏa Q<0
1.2.3. Nhiệt chuyển pha Nhiệt nóng chảy:
Q= λm ; λ :nhiệt nóng chảy riêng ,( J ) kg Nhiệt hóa hơi:
Tập học Vật lý Thống kê của Phúc Đăng
Tập học Vật lý Thống kê của Phúc Đăng
Q=Lm ; L: nhiệt hóa hơi riêng , ( J ) kg
Phương trình cân bằng nhiệt: ∑ Q =∑Q tỏa thu
Ví dụ 2: Thêm bao nhiêu nước đá -20℃ để làm lạnh 0.25kg nước ở nhiệt độ 20℃. Nhiệt độ
cân bằng của hệ là 0℃.
Nhiệt dung riêng của hộp đựng bỏ qua.
Nhiệt dung riêng của nước là 4190 J/kg.K
Nhiệt dung riêng của nước đá là 2000 J/kg.K
Nhiệt nóng chảy của nước đá là 3,34.105 J/kg J Q =m ∙ c
∙ ∆ T =(0.25 kg) ∙(4190 . K)∙(0−20° K)=−20950J nước nước kg J Q =m ∙ c
∙ ∆ T =(m kg ) ∙(2000 . K )∙ (0+20° K )=40000mJ nước đá nguội nướcđá kg Q =λ
∙m=(3,34.105 J )∙(mkg)=3,34.105mJ nước đá tan nước đá kg
Cân bằng nhiệt của hệ:
∑ Q =∑ Q ⟺Q =Q +Q tỏa thu nước nước đá nguội nước đá tan ⟺ Q +Q −Q =0 nước đá nguội nước đá tan nước
⟺ 40000 m+3,34.105 m=−20950 ⟹ m=0,056 kg
Ví dụ 5: Nhiệt lượng cần thiết để cung cấp cho một miếng nhôm khối lượng 100 g ở nhiệt độ
20℃ để nó hóa lỏng ở nhiệt độ 658℃.
Nhôm có nhiệt dung riêng là J 896 kg∙ K
Nhiệt nóng chảy riêng là 3,9.105 J . kg 20 ℃ 658℃ 658 ℃ Q Q r nhômnóng r nhôm chảy l Q =m∙ c ∙ ∆ T =
∙ (658−20 ) K=57164,8 J nhôm nóng nhôm
(100)kg∙ (896) J 103 kg ∙ K Q =λ
∙ m=(3,9.105) J ∙ (100 )kg=39000 J nhôm chảy nhôm kg 103
Tập học Vật lý Thống kê của Phúc Đăng
Tập học Vật lý Thống kê của Phúc Đăng ⟹ Q=Q +Q
=57167,8+39000=96164,8 J nhôm nóng nhôm chảy Ví dụ 6: −20 ℃ 0 ℃ 0 ℃ 100 ℃ 100 ℃ Q Q Q Q r đá nguội r đá tan l nước nóng l hóa hơi k Q
=m ∙ c ∙ ∆ T =0,2 ∙ 2,09.103∙( 0+20)=8360 J đá nguội đá Q
=λ ∙ m=3,4.105∙ 0,2=68000 J đá tan đá Q =m∙ c
∙ ∆ T =0,2 ∙ 4180 ∙ (100−0 )=83600 J nước nóng nước Q
=L ∙ m=2,3.106∙ 0,2=460000 J hóa hơi đá Q=Q +Q +Q +Q =619900 J đá nguội đá tan nước nóng hóa hơi
1.2.4 Sự truyền nhiệt Dẫn nhiệt
Tốc độ truyền nhiệt H (W ) T −T
H = ∆ Q =kA H C ∆ t L
k : hệ số truyền nhiệt của vật liệu; A: tiết diện thanh; L : chiều dài thanh Ví dụ W
Ví dụ 3: Một hộp cách nhiệt có hệ số truyền nhiệt là 0,01
. Tổng diện tích hộp bao gồm m. K
nắp là 0,8 m2 và độ dày 2,0 cm. Hộp được đổ đầy đá để giữ bề mặt bên trong ở nhiệt độ 0℃ 273 K. Tốc độ truyền nhiệt 30
là bao nhiêu nếu nhiệt độ bề mặt bên ngoài là ℃ 303 K?
Xác định lượng đá tan trong một ngày.
Biết nhiệt nóng chảy của nước đá là 3,34 ×105 J /kg. T −T 303−273 5 × H =kA H
C =0,01× 0,8 ×
=12= ∆ Q= mc ∆ T = m×3,34 × 10 30 L 2,0 ×10−2 ∆ t ∆ t
1× 24 ×60 × 60
⟹ 12= m ×3,34 ×105 ×30 =115,9722 ×m ⟹ m=9,6644 kg
1× 24 ×60 × 60 Bức xạ
Tốc độ truyền nhiệt H do bức xạ từ một diện tích bề mặt A với tốc độ phát xạ e và nhiệt độ tuyệt đối K H = Aeσ T 4
Tập học Vật lý Thống kê của Phúc Đăng
Tập học Vật lý Thống kê của Phúc Đăng
σ =5,6705 ×10−8 W : Hằng số Stefan -Boltzmann. m2 K2 Tốc độ bức xạ
Tốc độ bức xạ từ một vật thể ở nhiệt độ T với mối trường xung quanh ở nhiệt độ T s
H = Aeσ T 4− Aeσ T 4= 4 ) s
Aeσ (T 4−T s Ví dụ
Ví dụ 4: Một người có tổng diện tích bề mặt cơ thể 1,2 m2 và nhiệt độ da là 30℃ 303 K.
Xác định tổng tốc độ bức xạ năng lượng từ cơ thể người này. Người đó cũng hấp thụ bức xạ
từ môi trường xung quanh.
Nếu môi trường xung quanh có nhiệt độ là 20℃ thì tốc độ mất nhiệt do bức xạ là bao nhiêu?
Biết độ phát xạ cơ thể bất kể sắc tố da.
Tốc độ bức xạ người: H = Aeσ T 4
¿ 1,2 ×1× 5,6705× 10−8 ×3034 ¿ 573,55 W
Tổng tốc độ bức xạ năng lượng:
H = Aeσ (T 4−T 4) s
¿ 1,2 ×1× 5,6705× 10−8 ×(3034−2934) ¿ 72,05 W
Tập học Vật lý Thống kê của Phúc Đăng
Tập học Vật lý Thống kê của Phúc Đăng
2.2 Phương trình trạng thái của khí lý tưởng
pV = M ∙ RT =nRT μ
p, V, T: ba thông số trạng thái
m: khối lượng khí (g) ,(kg )
μ: khối lượng mol (g/ mol ) n= m : số mol μ J R=8,31 =8,31 ×103 J : hằng số khí molK kmolK
Điều kiện tiêu chuẩn:
p=1 atm=1,01× 105 Pa ;
t =0 ℃=273 K
Thể tích 1 mol khí lý tưởng ở đktc: 5 × m3 l
V = m RT = 8,31× 10 273 = μ 22,4 =22,4 μ 1,01 ×105 kmol mol
Cách viết khác của phương trình trạng thái:
pV = m ∙ RT = N ∙ RT=Nk T μ N B A N: số phân tử khí
k = R =1,38 ×1023 J B : hằng số Boltzmann. N K A Ví dụ
Ví dụ 7: Trong một động cơ diesel, khối khí có nhiệt độ ban đầu là 627℃ được nén để thể
tích giảm bằng 1/3 thể tích ban đầu và áp suất tăng 20% so với áp suất ban đầu. Nhiệt độ của
khối khí sau khi nén bằng. Đầu Sau p p × 120/ 100 1 1 V V 1 1 3 T =627 ℃ ? 1 120 1 × p × ×V p V p V p V 1 3 1 1 1 = 2 2 100
⟹ T =T × 2 2=627 ℃ × =250,8 ℃ T T 2 1 p V p ×V 1 2 1 1 1 1
Tập học Vật lý Thống kê của Phúc Đăng
Tập học Vật lý Thống kê của Phúc Đăng
Ví dụ 8: Phòng có kích thước 8m x 5m x 4m. Ban đầu không khí ở đkc, sau đó nhiệt độ tăng
tới 10℃, áp suất 78cmHg. Khối lượng riêng không khí ở đkc là 1,29kg/m3. Khối lượng khí còn lại trong phòng. Đầu Sau
p =76 cmHg=101325 Pa
p =78 cmHg=103975 Pa 1 2
V =8 × 5× 4 m=160 m3 V =V 1 2 1 T =273 K T =283 K 1 1 kg m ; ρ=1,29 m =? 1 2 m3
ρ= Mn ; n= pV ⟹ ρ= Mp ; m=ρ × V V RT RT M p2 ρ RT M p RT p T ρ ⟹ 2= 2 = 2 1 = 2 1 ⟺ 2 = 103975 ×273 =0,99 ρ M p RT M p p T 1,29 101325 ×283 1 1 2 1 1 2 RT 1 kg ⟹ ρ =1,277 2 m3
⟹ m =ρ × V =1,277 × 160=204,32 kg 2 2 CÔNG
Phần năng lượng hệ trao đổi với mối trường xung quanh trong suốt quá trình thay đổi trạng thái
Thay đổi cấu trúc vĩ mô của hệ.
Công (dA ) do một lực (
F )sinh ra làm một đối tượng bị dịch chuyển một vi phân độ dời (d x). dA= F d x Công cơ học
Công cơ học mà khối chất lưu nhận được: dA= F d x=−
F d x=−pSdx=− pdV ext Trong đó:
p là áp suất khối chất lưu sinh ra.
dV =Sdx là phần thẻ tích bị thay đổi của chất lưu.
Quá trình thuận nghịch: dA= F d x=−
F d x=− pSdx=− pdV ext Hệ bị nén dV < 0 dA >0 Hệ nhận công Hệ giãn nở dV > 0 dA <0 Hệ sinh công
Tập học Vật lý Thống kê của Phúc Đăng
Tập học Vật lý Thống kê của Phúc Đăng
BÀI TẬP KIỂM TRA NHÓM [1]
Bài 1: Mỗi thanh ray của đường sắt ở nhiệt độ 15℃ có độ dài 12,5 m. Biết hệ số nở dài của
mỗi thanh ray là 12×10−6 K−1. Nếu 2 đầu các thanh ray khi đó đặt cách nhau 4,5 mm, để
chúng không bị uốn cong do tác dụng nở vì nhiệt, thì các thanh ray này có thể chịu được
nhiệt độ lớn nhất bằng bao nhiêu? Đầu Sau
α =12 ×10−6 K−1 15℃=¿ 288 K T =? sau L = 12,5 m L = 12,5045 m 0 Công thức dãn nở dài:
L=L ( 1+α ∆ T ) 0 ⟹ −6
12,5045=12,5 ×(1+12×10 × (T −288) ) sau ⟹ T =318 K sau
Bài 2: 3 mol khí lý tưởng giãn nở đẳng nhiệt chậm, được kiểm soát. Thể tích ban đầu của khí
là 4,0 l và thể tích cuối cùng là 5,0 l. Trong khi khí giãn nở, nhiệt được cung cấp để duy trì
nhiệt độ ở mức 300 K. Xác định:
a. Công mà khí thực hiện trong quá trình giãn nở.
b. Sự thay đổi nội năng của khối khí.
a. Công mà khí thực hiện trong quá trình giãn nở: V 4 A=−nRT ln
1 =−3× 8,31 ×300 × ln =1668,89 J V 5 2
b. Sự thay đổi nội năng của khối khí.
Quá trình đẳng nhiệt ∆ T =0 ∆ U =0
Bài 3: Một bình chứa khí hydro nén, thể tích 10 lít, nhiệt độ 7℃, áp suất 50 atm. Khi nung
nóng bình vì bình hở nên một phần khí thoát ra ngoài; phần khí còn lại có nhiệt độ 17℃ còn
áp suất vẫn như cũ. Tính khối lượng Hydro đã thoát ra ngoài. Hệ 1 Hệ 2 p =50 atm 1 V =10 lít T =280 K T =290 K 1 1 L. atm R=0,082 mol. K m m =? 1 2
Tập học Vật lý Thống kê của Phúc Đăng
Tập học Vật lý Thống kê của Phúc Đăng
Số mol hệ khí ban đầu: Số mol hệ sau: n = pV n = pV 1 RT 2 RT 1 2
Số mol khí chênh lệch (thoát): pV pV pV 1 n −n = − = − 1 2 ( 1 ) RT RT R T T 1 2 1 2
Khối lượng khí thoát ra: ( g
n −n ) M ; M =2 1 2 Hydro mol ( pV 1 50 ×10 1
n −n ) × μ =μ ( 1 − )= ( 1 − )=1,50g 1 2 Hydro × Hydro 2 × R T T 0,082 280 290 1 2
Bài 4: Một người rót 0,3 kg cà
phê nhiệt độ 70℃ vào một chiếc cốc bằng đồng – bên trong
được mạ thiếc để tránh ngộ đuộc đồng – có khối lượng 0,1 ở
kg nhiệt độ 20℃. Nhiệt độ cuối
cùng sau khi cà phê và cốc đạt trạng thái cân bằng nhiệt là bao nhiêu? Giả sử rằng cà phê có
cùng nhiệt dung riêng với nước là 4190 J/kgK, nhiệt dung riêng của đồng là 390 J/kgK và
không có trao đổi với môi trường xung quanh. Cà phê Cốc Đầu Sau Đầu Sau m = 0,3 kg 0,1 kg β = 4190 J/kgK β = 390 J/kgK cf Cu 343℃ T 293℃ T cb cb T =? cb Q =m β ∆ T cf cf Q =m β ∆ T Cu Cu
Q +Q =0→ Q =−Q cf Cu cf Cu
⟹ m β ∆ T =−m β ∆ T cf Cu
⟹ 0,3 ×4190 × (T −343) =−0,1 ×390 ×( T −293) cb cb ⟹ T =341,5 K cb
Tập học Vật lý Thống kê của Phúc Đăng
Tập học Vật lý Thống kê của Phúc Đăng
Ví dụ 9: Xét một khối khí Hydro i = 5, có khối lượng 1,3 g, thể tích 3 lít, ở nhiệt độ 27℃ được
đung nóng đẳng áp cho đến khi thể tích của nó tăng gấp đôi. Tính
a. Công do khối khí thực hiện
b. Độ biến thiên nội năng của khối khí
c. Nhiệt lượng truyền cho khối khí Đầu Sau
m =1,3 g →n=1,3 ×10−3 = 1 0,65 mol 2×10−3 p
V =3 lít =3 ×10−3m3 V =2 ×V 1 2 1 T =300 K T =2 T 1 2 1 a. A= ? b. ∆U = ? c. Q = ?
a. A=− p ∆ V =− p (V −V ) 2 1
¿−(nRT1 )×(V −V )=−(0,65×8,31×300 )×(3×10−3)=−1620,45J V 2 1 1 3 ×10−3 b.
∆ U =n ×C × ∆ T =0,65 ×( 5 +1)×8,31−8,31)×300=4051,125J v 2 c.
Q=∆ U− A=4051,125−1620,45=2430,675 J
BÀI TẬP NGUYÊN LÝ II NHIỆT ĐỘNG LỰC HỌC
Ví dụ 10: Một động cơ xăng trong một chiếc xe tải nhận nhiệt lượng 2500 J và giải phóng
500 J công cơ học trong mỗi chu trình. Nhiệt thu được khi đốt cháy 1 kg xăng là 5.107 J/kg. Xác định
a. Hiệu suất của động cơ
b. Nhiệt lượng tỏa ra trong mỗi chu trình
c. Lượng xăng được đốt cháy trong mỗi chu trình
d. Nếu động cơ thực hiện 100 chu trình mỗi giây, thì công suất của nó là bao nhiêu?
e. Lượng xăng được đốt cháy mỗi giờ
Tập học Vật lý Thống kê của Phúc Đăng
Tập học Vật lý Thống kê của Phúc Đăng
a. Hiệu suất của động cơ – e: efficiency
e= A = 500 =0,2=20 % Q 2500 H
b. Nhiệt lượng tỏa ra trong mỗi chu trình
A=Q +Q ⟹Q =500−2500=2000 J H C C
c. Lượng xăng được đốt cháy trong mỗi chu trình Q
m = H = 2500 =5 ×10−5kg=0,05 g CT LC 5× 107
d. Nếu động cơ thực hiện 100 chu trình mỗi giây, thì công suất của nó là bao nhiêu? T = 1 s 100
P= A = 500 =50000W ∆ t 1 100
e. Lượng xăng được đốt cháy mỗi giờ ∆ t m =m ×
=0,05 ×100 ×3600=18000 g=18 kg 1 h CT T CT
Ví dụ 11: Một máy làm lạnh làm việc theo chu trình Carnot, tiêu thụ công suất 36800 W.
Nhiệt độ của nguồn lạnh là -10℃. Nhiệt độ của nguồn nóng là 17℃. Tính
a. Hệ số làm lạnh của máy
b. Nhiệt lượng lấy được từ nguồn lạnh trong 1 giây
c. Nhiệt lượng nhả ra cho nguồn nóng trong 1 giây
a. Hệ số làm lạnh của máy Q T ε = 2= 2 = 263 =9,74 A T −T 1 2 290−263
b. Nhiệt lượng lấy được từ nguồn lạnh trong 1 giây
Q' =εA=ε × P × t=9,74 ×36800 ×1=358459,26 J 2
c. Nhiệt lượng nhả ra cho nguồn nóng trong 1 giây
Q = A+Q ' =(36800× 1) +358459,26=395259,26 J 1 2
Tập học Vật lý Thống kê của Phúc Đăng
Tập học Vật lý Thống kê của Phúc Đăng
BÀI TẬP CUỐI CHƯƠNG
Câu 1: Ở thời kì nén của một động cơ đốt trong 4 kì, nhiệt độ của hỗn hợp khí tăng từ 47℃
đến 376℃, còn thể tích của khí giảm từ 1,8 lít đến 0,3 lít. Áp suất của khí lúc đầu nén là 100
kPa. Coi hỗn hợp khí như chất khí thuần nhất, áp suất cuối thời kì nén là? P V P V V T (376+273 ) 1 1 = 2 2 1,8 ⟹ P =P 1 2 =100 ×103 × × =1,2× 106 Pa T T 2 1 V T ( + ) 1 2 2 1 0,3 47 273
Câu 3: Cho khí N ở áp suất p =0,8 atm, nhiệt độ t =20 ℃ và có thể tích V =3 lít được 2 1 1 1
dãn nở tới thể tích V =2,5 V . Biết R = 8,31 J/molK. Hãy tính mà khối khí sinh ra và công 2 1
nhiệt khối khi nhận được nếu quá trình: a. Đẳng áp b. Đẳng nhiệt a. Đẳng áp V 2
∎ A'=− A=∫ pdV = p(V −V )=0,8× 1,01× 105× (2,5−1) ×3×10−3=363,6 J 2 1 V 1 p V
( 0,8 ×101325 )× (3 ×10−3)
∎ p V =n RT ⟹ n= 1 1 = =0,075 mol 1 1 1 R T 1 8,31 ×293 V V T V ∎
1 = 2 ⟹T = 1 2 =732,5 K T T 2 V 1 2 1 i
∎ ∆ U =Q+ A=n R ∆ T 2 i
⟹ Q=∆U − A=n R ∆T + pdV =n (i +1) R∆T 2 2
¿ 0,075 ×(5+1)×8,31× (732,5−293 )=958,71J 2 b. Đẳng nhiệt: V 2 V 2,5
∎ A=∫ p dV =−nR T ln 2=−0,075× 8,31× 732,5× ln =−418,31 J 2 V 1 V 1 1
∎ ∆ U =Q+ A=0
⟹ Q=− A=418,31 J
Tập học Vật lý Thống kê của Phúc Đăng
Tập học Vật lý Thống kê của Phúc Đăng
Câu 4: Một máy hơi nước có công suất 14,7 kW , tiêu thụ 8,1 kg than trong 1 giờ. Năng suất
tỏa nhiệt của than 7800 kcal/kg. Nhiệt độ của nguồn nóng là 250℃ và nhiệt độ của nguồn lạnh là 60℃ .
a. Tính hiệu suất thực tế của máy
b. So sánh hiệu suất đó với hiệu suất của máy nhiệt làm việc theo chu trình Carnot với cùng 2 nguồn nhiệt trên.
a. Hiệu suất thực tế của máy
Công suất P =14 kW sinh ra trong 1h
A=P× t =14,7 ×3600=52920 kJ Nhiệt lượng nhận k cal J
Q =mq =8,1 kg ×7800 × 4,184 =264345,12 kJ 1 kg cal η= 52920 =0,20=20 % 264345,12
b. So sánh hiệu suất T η =1− 2=1−523 =− 0,57 canot T 333 1
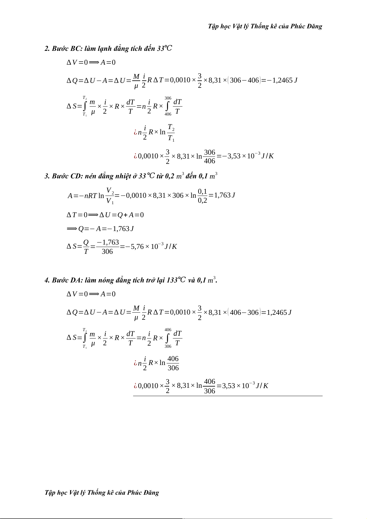
BÀI TẬP KIỂM TRA NHÓM [2]
Các bước của động cơ Stirling thuận nghịch sử dụng 0,0010 mol khí đơn nguyên tử ở nhiệt
độ 133℃ và thể tích 0,1 m3, tương ứng điểm A.
Sau đó trải qua các 4 bước, xác định công, nhiệt lượng và độ biến thiên entropy cho từng
bước và cho toàn quá trình.
1. Bước AB: giãn nở đẳng nhiệt ở 133℃ từ 0,1 m3 đến 0,2 m3 V 0,2 A=−nRT ln
2=−0,0010 ×8,31 ×406 × ln =−2,339 J V 0,1 1
∆ T =0⟹ ∆ U =Q+ A=0
⟹ Q=− A=2,339 J
∆ S=Q = 2,339 =5,76 ×10−3 J / K T 406
Tập học Vật lý Thống kê của Phúc Đăng
Tập học Vật lý Thống kê của Phúc Đăng
2. Bước BC: làm lạnh đẳng tích đến 33℃ ∆ V =0 ⟹ A=0 i 3
∆ Q=∆ U −A=∆ U = M
R ∆ T =0,0010 × ×8,31 ×( 306−406)=−1,2465 J μ 2 2 T2 306 m i dT i dT
∆ S=∫ × × R × =n R × ∫ μ 2 T 2 T T 406 1 T ¿ i n R× ln 2 2 T1 ¿ 3 306
0,0010 × × 8,31× ln
=−3,53 ×10−3 J /K 2 406
3. Bước CD: nén đẳng nhiệt ở 33℃ từ 0,2 m3 đến 0,1 m3 V 0,1 A=−nRT ln
2=−0,0010 ×8,31 ×306 × ln =1,763 J V 0,2 1
∆ T =0⟹ ∆ U =Q+ A=0
⟹ Q=− A=−1,763 J −1,763 ∆ S=Q =
=−5,76 × 10−3 J /K T 306
4. Bước DA: làm nóng đẳng tích trở lại 133℃ và 0,1 m3. ∆ V =0 ⟹ A=0 i 3
∆ Q=∆ U −A=∆ U = M
R ∆ T =0,0010 × ×8,31 ×( 406−306 )=1,2465 J μ 2 2 T 406 2 m i dT i dT
∆ S=∫ × × R × =n R × ∫ μ 2 T 2 T T 306 1 ¿ i 406 n R× ln 2 306 ¿ 3 406
0,0010 × × 8,31× ln
=3,53 ×10−3 J / K 2 306
Tập học Vật lý Thống kê của Phúc Đăng
Tập học Vật lý Thống kê của Phúc Đăng
VẬT LÝ THỐNG KÊ PHẦN 2
VÍ DỤ VỀ XÁC XUẤT
Ví dụ: Một nhà máy gồm ba phân xưởng A, B, C. Kiểm tra một lô hàng của nhà máy gồm
1000 sản phẩm, người ta thấy có 252 sản phẩm của phân xưởng A, 349 của phân xưởng B,
399 của phân xưởng C. Tính xác suất nhận được sản phẩm từ phân xưởng A, B, C.
P =P ( A)= 252 =0,252=25,2 % A 1000
P =P (B) = 349 =0,349=34,9 % B 1000
P =P (C )= 399 =0,399=39,9 % C 1000
Ví dụ: Tung hai con xúc xắc. Xác định không gian mẫu.
a. Xác định xác suất để tổng số nút xuất hiện cộng lại bằng 6.
b. Xác định xác suất để số nút của xúc xắc thứ nhất là số lẻ.
c. Xác định xác suất để số nút của xúc xắc thứ nhất là số lẻ và tổng số nút xuất hiện cộng lại bằng 6.
Không gian mẫu: |Ω|=6 × 6=36
a. P =P ( A)=5/36=0,139=13,9 % A
b. P =P (B) =18/36=0,50=50,0 % B
c. P =P (C )=3/36=0,083=8,3 % C BÀI TẬP
Bài 1: Một thiết bị gồm 3 cụm chi tiết, mỗi cụm bị hỏng không ảnh hưởng gì các cụm khác
và chỉ cần một cụm bị hỏng thì thiết bị ngừng hoạt động. Xác xuất để cụm thứ nhất bị hỏng
trong ngày là 0,1, cụm thứ hai là 0,05, cụm thứ ba là 0,15. Tìm xác xuất để thiết bị không
ngừng hoạt động trong ngày.
Xác xuất thiết bị không ngừng hoạt động: P (A )=0,9 × 0,95× 0,85=0,73
Bài 2: Gieo đồng thời ba con xác xắc cân đối. Tính xác suất để tổng số chấm ở mặt xuất hiện
của ba con xúc xắc bằng 11.
Các cặp số có tổng bằng 11 Số khả năng xảy ra 1-4-6 3! 1-5-5 3 2-3-6 3! 2-4-5 3! 3-3-5 3 3-4-4 3
Tập học Vật lý Thống kê của Phúc Đăng
Tập học Vật lý Thống kê của Phúc Đăng
Tổng số khả năng thỏa điều kiện đề bài: 3 ×3 !+3 × 3=27
Không gian mẫu: |Ω|=6 × 6× 6=216
Vậy P (A )=27 /216 BÀI TẬP 2.3
Một phân xưởng có ba máy M , M , M . Trong một giờ, mỗi máy sản xuất được 10 sản 1 2 3
phẩm. Số sản phẩn không đạt tiêu chuẩn trong 10 sản phẩm của M , M , M lần lượt là 1, 2, 1 2 3
3. Lấy ngẫu nhiên 1 sản phẩm từ 10 sản phẩm do mỗi máy sản xuất. Gọi X là số sản phẩm
không đạt tiêu chuẩn trong ba sản phẩm được lấy ra. Lập bẳng phân phối xác suất của X. x 0 1 2 3 ( 1 8 7 2 7 2 7 2 3 × ×
)+( 9 × × ( 1 × × )+( 9 × × 9 8 7 10 10 10 10 10 10 10 10 10 10 10 1 1 2 3 P × × × × 10 10 1 +( 9 8 3 8 3 10 10 10 × × ) +( 1 × × ) 10 10 10 10 10 10 0,504 0,398 0,092 0,006
Xác định hàm xác suất của x: ; x= f (x)={0,504 0 0,398; x =1 0,092; x=2 0,006; x=3 BÀI TẬP NHÓM [3]
Bài 1: Gieo đồng thời ba con xác xắc cân đối. Tính xác suất để tổng số chấm ở mặt xuất hiện
của ba con xúc xắc bằng 10.
Các cặp số có tổng bằng 10 Số khả năng xảy ra 1-3-6 3! 1-4-5 3! 2-2-6 3 2-3-5 3! 2-4-4 3 3-3-4 3
Tổng số khả năng thỏa điều kiện đề bài: 3 ×3 !+3 × 3=27
Không gian mẫu: |Ω|=6 × 6× 6=216
Vậy P (A )=27 /216
Tập học Vật lý Thống kê của Phúc Đăng
Tập học Vật lý Thống kê của Phúc Đăng
Câu 2: Có một cơ sở sản xuất mà công nhân có số tuổi từ 20 đến 30. Có 5 người 20 tuổi, 7
người 21 tuổi, 9 người 22 tuổi,… (theo quy luật như trên). Tính xác xuất gặp công nhân có số
tuổi 30 khi ta chọn ngẫu nhiên một công nhân từ cơ sở sản xuất trên. Tìm hàm mật độ xác
xuất theo số tuổi của công nhân.
Xác xuất gặp công nhân có số tuổi 30: P (30)= 25 . 165 x 20 21 22 23 24 25 26 27 28 29 30 P 5/165 7/165 9/165 11/165 13/165 15/165 17/165 19/165 21/165 23/165 25/165
Hàm mật độ xác xuất theo số tuổi: ; x=20 7 ; x=21 165 9 ; x=22 165 11 ; x=23 165 13 ; x=24 165 15 ; x=
f ( x)= {5165 2516517;x=2616519;x=2716521;x=2816523;x=2916525;x=301650;x≠20→30
Tập học Vật lý Thống kê của Phúc Đăng
Tập học Vật lý Thống kê của Phúc Đăng
Problem 8: Hàm trạng thái của một hạt tại một thời điểm nào đó được mô tả bởi hàm sóng:
ψ (x) =Aexp (ikx− x2 ) 2 a2
Với k, a là các hằng số và A là hệ số chuẩn hóa.
Tìm xác suất để hạt nằm trong khoảng (−a ; a )
Tính các giá trị x , x2 và σx Solution:
– Chuẩn hóa hàm sóng ψ (x) ∞
∫ |ψ ( x)|2dx=1 −∞ Ta có: − x2 ikx− x2
ψ (x) =Ae
2 a2 = A eikx e 2a2
eikxlà phần pha (số phức). − x2
e 2a2 là phần thực (hàm Gauss).
ψ¿ ( x) là liên hợp phức của ψ (x). − x2
ψ¿( x )= A e−ikx e 2a2 −x2 −x2 |ψ ( x)|2= −
ψ¿( x )ψ ( x)=(A e ikx e 2a2 )( A eikx e2a2 ) −x2 −x2 −x2 −x2
¿ A2 (e−ikx eikx )(e 2a2 e2a2 )= A2×1 × e a2 = A2 e a2 −x2
⟹|ψ (x)|2=ψ¿ (x) ψ (x )=e a2 ∞ ∞ −x2
⟹ ∫|ψ( x)|2 dx= A2 ∫ e a2 dx=1 −∞ −∞
Sử dụng công thức tích phân Gauss: ∞
∫ e−αx2dx=√π ,α>0 α −∞
với α= 1 , ta được: a2
Tập học Vật lý Thống kê của Phúc Đăng
Tập học Vật lý Thống kê của Phúc Đăng ∞
∫ |ψ ( x)|2dx=A2√ π a2=1⟹ A= 1 4 −∞ √π a2
– Xác suất hạt xuất hiện trong khoảng (−a ; a ): a a −x2 a − x2 P =∫|ψ ( x)|2 e a2 ∫ e a2 (− dx =A2∫ dx= 1 dx a ≤ x≤ a) −a −a √π a2 −a P = 1 ∙√ ( π a2=√ a2 −a ≤ x≤ a) √π
– Kỳ vọng – trung bình của x: ∞
x=∫ x|ψ ( x)|2 dx. −∞
Do |ψ (x )|2 là hàm chẵn (vì chỉ có x2 trong số mũ), còn x là hàm lẻ, nên tích phân của một
hàm lẻ trên miền đối xứng sẽ bằng 0: x=0
– Kỳ vọng – trung bình của x2 là: ∞ ∞ −x2
x2=∫ x2|ψ ( x )|2dx= A2 ∫ x2exp( )dx −∞ −∞ a2
Dùng công thức tích phân: ∞ ∫ √π
x2 exp(−α x2 ) dx= , α >0 3 −∞ 2 α 2 Với α= 1 , ta có: a2 ∞ ∫ √ π a3
x2 exp(−x2)dx= − 2 ∞ a2 3 √π a3 1
√π a3 1 a2 √a ⟹ x2=A2 = = ∙ = 2 √π a2 2 2 a 2
– Phương sai: σx
σ x=x2−x2 √ ( a x=0 )⟹ σx= 2
ÔN TẬP KIỂM TRA LẦN 2
Tập học Vật lý Thống kê của Phúc Đăng
Tập học Vật lý Thống kê của Phúc Đăng Problem 1:
Câu 1: Gieo đồng thời ba con xác xắc cân đối. Tính xác suất để tổng số chấm ở mặt xuất hiện
của ba con xúc xắc bằng 10. Solution:
Các cặp số có tổng bằng 10 Số khả năng xảy ra 1-3-6 3! 1-4-5 3! 2-2-6 3 2-3-5 3! 2-4-4 3 3-3-4 3
Tổng số khả năng thỏa điều kiện đề bài: 3 ×3 !+3 × 3=27
Không gian mẫu: |Ω|=6 × 6× 6=216
Vậy P (A )=27 /216
Câu 2: Có một cơ sở sản xuất mà công nhân có số tuổi từ 20 đến 30. Có 5 người 20 tuổi, 7
người 21 tuổi, 9 người 22 tuổi,… (theo quy luật như trên). Tính xác xuất gặp công nhân có số
tuổi 30 khi ta chọn ngẫu nhiên một công nhân từ cơ sở sản xuất trên. Tìm hàm mật độ xác
xuất theo số tuổi của công nhân.
Solution: Xác xuất gặp công nhân có số tuổi 30: P = 25 . (30 ) 165 x 20 21 22 23 24 25 26 27 28 29 30 P 5/165 7/165 9/165 11/165 13/165 15/165 17/165 19/165 21/165 23/165 25/165 x
Hàm mật độ xác xuất theo số tuổi:
Tập học Vật lý Thống kê của Phúc Đăng
Tập học Vật lý Thống kê của Phúc Đăng ; x=20 7 ; x=21 165 9 ; x=22 165 11 ; x=23 165 13 ; x=24 165 15 ; x=
f ( x)={5165 2516517;x=2616519;x=2716521;x=2816523;x=2916525;x=301650;x<20,x>30
Câu 3: Giả sử tuổi của một loại linh kiện là đại lượng ngẫu nhiên liên tục x đơn vị năm có hàm mật độ xác suất: 0≤ x ≤ 2
f ( x)= {m (x−2) 0 x ∉ [0,2 ]
Giả sửa linh kiện được bảo hành 3 tháng. a. Tìm tham số m.
b. Tính tỷ lệ linh kiện được thay thế trong thời gian bảo hành.
Solution: a. Chuẩn hóa hàm mật độ xác suất f (x): ∞
∫ f ( x) dx=1 −∞ 0 2 ∞
⟺ ∫ f ( x )dx +∫f ( x) dx+∫f (x )dx=1 −∞ 0 2 2
⟺ 0+∫m (x−2)dx+0=1 0
Tập học Vật lý Thống kê của Phúc Đăng