



















Preview text:
TRƯỜNG ĐẠI HỌC VĂN HIẾN
TT KHẢO THÍ & ĐẢM BẢO CHẤT LƯỢNG
PHIẾU CHẤM THI KẾT TH C HỌC PHẦN (Dành cho CBChT1)
Học kỳ 2 Năm học 2023-2024 Lớp thi: Kỳ thi: Thi lần 1 MAN201
Môn thi: QUẢN TRỊ HỌC Nhóm: 4 Ngày thi: Phòng thi: ĐIỂM THÀNH PHẦN STT MSSV HỌ LÓT TÊN Thái Hình Nội độ thức dung 1 231A370104 Nguyễn Tấn Thương 2 231A030233 Nguyễn Văn Hải 3 221A170251 Nguyễn Thị Anh Thư 4 231A230723 Bùi Thị Tú Uyên 5 231A371204 Nguyễn Kiều Khanh 6 221A170232 Nguyễn Trần Thục Đoan 7 231A320408 Huỳnh Thị Ái Duyên GIẢNG VIÊN CHẤM 1 GIẢNG VIÊN CHẤM 2
Nguyễn Lê Vương Ngọc
PHÒNG KHẢO THÍ VÀ ĐẢM BẢO CHẤT LƯỢNG MỤC LỤC
LỜI MỞ ĐẦU ...................................................................................................................... 7
CHƯƠNG I: GiỚI THIỆU CÔNG TY VINFAST SẢN PHẨM DỊCH VỤ ................. 8
1.1 Giới thiệu về công ty VinFast ....................................................................... 8
2.1 Giới thiệu về sản phẩm của công ty .............................................................. 9
3.1 Cơ cấu tổ chức .............................................................................................. 11
CHƯƠNG 2: MÔI TRƯỜNG CỦA TỔ CHỨC ............................................................ 14
2.1 Các môi trường ảnh hưởng đến tổ chức ................................................... 14
2.1.1 Môi trường vĩ mô ................................................................................. 18
2.1.3 Môi trường bên trong .......................................................................... 21
2.2 Phân tích SWOT ......................................................................................... 23
CHƯƠNG III: LÃNH ĐẠO VÀ KIỂM SOÁT .............................................................. 29
3.1 Lãnh đạo ....................................................................................................... 29
3.1.2 Phong cách lãnh đạo của Phạm Nhật Vượng................................... 29
3.1.3 Sự ảnh hưởng phong cách lãnh đạo của Phạm Nhật Vượng đối với nhân viên
.................................................................................................................. 30
. .................... 3.2 Chính sách nhân sự của công ty: tuyển dụng, đào tạo và phát triển
nhân sự các chính sách, quy định khác về nhân sự của công ty: .............................. 33
3.2.1 Tuyển dụng: ........................................................................................... 33
3.2.2 Đào tạo và phát triển nhân sự các chính sách .................................... 33
3.2.3 Quy định khác về nhân sự của công ty: ............................................ 35
PHẦN KẾT LUẬN ............................................................................................................ 37
TÀI LIỆU THAM KHẢO ................................................................................................. 38 DANH MỤC HÌNH ẢNH
Hình 1.1: Logo VinFast. ...................................................................................................... 8
Hình 1.2: VinFast VF e3. ..................................................................................................... 10
Hình 1.3: VinFast VF 8. ..................................................................................................... 10
Hình 1.4: VinFast Evo200. ..................................................................................................10
Hình 1.5: VinFast Theon S. ................................................................................................. 11
Hình 1.6: Mô hình tổ chức...................................................................................................11
Hình 2.1: Mức độ tăng trưởng GDP 6 tháng đầu năm 2023. .............................................. 14 LỜI MỞ ĐẦU
VinFast là một công ty ô tô Việt Nam đang phát triển nhanh chóng, với mục tiêu trở
thành một trong những nhà sản xuất ô tô điện hàng đầu thế giới. Sự tăng trưởng của
VinFast cho thấy tiềm năng to lớn của ngành công nghiệp ô tô Việt Nam. VinFast tập
trung vào sản xuất ô tô điện, góp phần giảm lượng khí thải carbon và thúc đẩy sự phát
triển bền vững. Điều này phù hợp với xu hướng toàn cầu về chuyển đổi sang năng lượng
sạch. VinFast hợp tác với các công ty công nghệ hàng đầu như Qualcomm và Google để
tích hợp các công nghệ tiên tiến vào xe của mình. Điều này mang đến cho khách hàng
những trải nghiệm lái mới và nâng cao an toàn. Tác động kinh tế và xã hội VinFast tạo ra
nhiều việc cải thiện chất lượng cuộc sống và tinh thần của cán bộ công nhân, doanh
nghiệp đảm bảo có lợi nhuận để tăng cường mở rộng phát triển sản xuất kinh doanh, thúc
đẩy sự phát triển kinh tế của Việt Nam. Hành trình của VinFast là một câu chuyện hấp
dẫn về sự táo bạo, đổi mới và quyết tâm, đem lại nguồn cảm hứng cho các doanh nhân và
các nhà hoạch định chính sách. Vì vậy Vinfast là lý do nhóm em chọn làm đề tài. 7
CHƯƠNG I: GiỚI THIỆU CÔNG TY VINFAST SẢN PHẨM DỊCH VỤ
1.1 Giới thiệu về công ty VinFast
Hình 1.1: Logo VinFast
(Nguồn: https://inkythuatso.com/mau-thiet-ke-vector/logo-vinfast-1814.html)
VinFast là công ty thành viên thuộc tập đoàn Vingroup, một trong những tập đoàn
kinh tế tư nhân đa ngành lớn nhất Châu Á.
Với triết lý “Đặt khách hàng làm trọng tâm”, VinFast không ngừng sáng tạo để tạo
ra các sản phẩm đẳng cấp và trải nghiệm xuất sắc cho mọi người.
Tầm nhìn: Trở thành thương hiệu xe điện thông minh thúc đẩy mạnh mẽ cuộc cách
mạng xe điện toàn cầu.
Sứ mệnh: Vì một tương lai xanh cho mọi người.
Triết lý thương hiệu: Đặt khách hàng làm trọng tâm, VinFast không ngừng sáng
tạo để tạo ra các sản phẩm đẳng cấp và trải nghiệm xuất sắc cho mọi người.
Tên gọi công ty được viết tắt từ cụm từ “Việt Nam – Phong cách – An toàn – Sáng
tạo – Tiên phong” (chữ Ph đổi thành F).
Thành lập: tháng 6 năm 2017. 8
Người sáng lập: Phạm Nhật Vượng
Trụ sở chính: Đình Vũ – Cát Hải, Hải Phòng, Việt Nam
Khu vực hoạt động: Việt Nam
Sản phẩm: Ô tô, xe chạy điện, phụ tùng
Dịch vụ: chăm sóc, sửa chữa xe máy điện, ô tô Chủ sở hữu: VinGroup
Chi nhánh: Chi nhánh Hà Nội Công ty trách nhiệm hữu hạn Sản xuất và Kinh doanh VinFast Công ty con:
+ Công ty Cổ phần Dịch vụ và Kinh doanh Vinfast
+ Công ty TNHH Dịch vụ và Kinh doanh VinFast
+ Công ty Cổ phần Sản xuất và Kinh doanh VinFast Escooter
Khẩu hiệu: Cùng bạn bứt phá mọi giới hạn (tiếng Anh: Boundless Together)
Website: http://www.vinfastauto.com.vn Mã số thuế: 0107894416
2.1 Giới thiệu về sản phẩm của công ty. -Ô tô điện:
VinFast VF e34, VinFast VF 8, VinFast VF 9VinFast VF 5 Plus, VinFast Fadil,
VinFast Lux A2.0, VinFast Lux SA2.0, VinFast President, VinFast VF 6, VinFast VF 7, 9
Hình 1.2: VinFast VF e34
(Nguồn: https://vnexpress.net/oto-xe-may/v-car/dong-xe/vinfast-vf-e34-177)
Hình 1.3: VinFast VF 8
(Nguồn: Hhttps://tuoitrethudo.com.vn/vinfast-vf-8-la-mau-xe-tien-ty-duy-nhat-lot-top-
10-o-to-ban-chay-nhat-thang-122022-216144.html) -Xe máy điện:
VinFast Klara, Xe máy điện VinFast Evo200, Xe máy điện VinFast Feliz S, Xe máy
điện VinFast Theon S, Xe máy điện Evo200 Lite,… 10
Hình 1.4: VinFast Evo200
(Nguồn: https://thanhnien.vn/xe-may-dien-vinfast-evo-200-lite-tai-viet-nam-giam-con-
184-trieu-dong-185230620164331091.htm)
Hình 1.5: VinFast Theon S
(Nguồn: https://xehoadiep.vn/xe-dien-vinfast-theon-s-pr218) 11
3.1 Cơ cấu tổ chức
Hình 1.6: Mô hình tổ chức
(Nguồn: https://images.app.goo.gl/sUiRr28ibm7ykMxK7) 1. Ban Giám đốc
Ban Giám đốc đứng đầu công ty và có trách nhiệm quản lý toàn bộ hoạt động của
công ty. Đây là vị trí cấp cao nhất trong tổ chức. 2. Phòng Kinh doanh
Phòng Kinh doanh đóng vai trò quan trọng trong việc tiếp thị, bán hàng và tìm
kiếm cơ hội kinh doanh mới. Đây là bộ phận quan trọng để phát triển doanh số bán hàng và doanh nghiệp. 3. Phòng Sản xuất
Phòng Sản xuất quản lý quy trình sản xuất và đảm bảo chất lượng sản phẩm. Đây
là bộ phận đảm bảo rằng sản phẩm được sản xuất đúng chất lượng và số lượng. 12
4. Phòng Nghiên cứu và Phát triển:
Phòng Nghiên cứu và Phát triển có nhiệm vụ tìm kiếm và phát triển các công nghệ
và sản phẩm mới. Đây là bộ phận đảm bảo sự tiến bộ và đổi mới trong sản phẩm và dịch vụ của công ty. 5. Phòng Tài chính:
Phòng Tài chính quản lý tài chính, kế toán và công việc liên quan đến tài chính
của công ty. Đây là bộ phận quan trọng để đảm bảo tài chính ổn định và báo cáo tài chính chính xác. 6. Phòng Nhân sự:
Phòng Nhân sự có nhiệm vụ tuyển dụng, đào tạo và quản lý nhân viên của công
ty. Đây là bộ phận đảm bảo có đủ và đúng chất lượng nhân sự cho các bộ phận khác.
7. Phòng Tiếp thị:
Phòng Tiếp thị đảm nhận vai trò quảng bá, tiếp thị và quản lý hình ảnh công ty.
Đây là bộ phận quan trọng để xây dựng thương hiệu và tiếp cận khách hàng -Ưu điểm:
+Xác định rõ hơn các cấp quyền hạn và trách nhiệm
+Hiển thị những người mà mỗi người báo cáo hoặc những người để nói chuyện về các dự án cụ thể
+Tạo động lực cho nhân viên với con đường sự nghiệp rõ ràng và cơ hội thăng tiến
+Cung cấp cho mỗi nhân viên một chuyên môn
+Tạo tình bạn thân thiết giữa các nhân viên trong cùng một bộ phận -Nhược điểm:
+Có thể làm chậm sự đổi mới hoặc những thay đổi quan trọng do bộ máy hành chính gia tăng
+Có thể khiến nhân viên hành động vì lợi ích của bộ phận thay vì toàn bộ công ty
+Có thể khiến nhân viên cấp dưới cảm thấy như họ có ít quyền sở hữu hơn và
không thể bày tỏ ý kiến của mình cho công ty 13
CHƯƠNG 2: MÔI TRƯỜNG CỦA TỔ CHỨC
2.1 Các môi trường ảnh hưởng đến tổ chức
2.1.1 Môi trường vĩ mô
Môi trường kinh tế
Trong tháng 9/ 2023, thị trường hàng hóa thế giới biến động do nhiều yếu tố kinh
tế, chính trị, xã hội. Nga – Ukraine đối đầu, các nước lớn cạnh tranh; chính sách tiền tệ
thắt chặt; tổng cầu giảm; tăng trưởng kém; rủi ro tài chính, bất động sản, thời tiết cực
đoan, hạn hán, bão lũ, thiên tai gây mất cân đối lương thực... Đứng trước tình hình căng
thẳng, Chính phủ đã có những điều chỉnh tối ưu như sau:
+ Nỗ lực đem lại CPI tăng 3,16% so với cùng kỳ năm 2022; lạm phát cơ bản tăng
4,49%. Tạo ra môi trường kinh doanh ổn định cho các nhà đầu tư đặc biệt là những
doanh nghiệp hướng mình ra thị trường quốc tế Vinfast.
+ Cho đến nay, các ngân hàng thương mại đã hạ lãi suất cho vay VND mới xuống
còn khoảng 9,3%/năm (giảm 0,65%/năm so với cuối năm 2022). Đồng thời, nhiều ngân
hàng cũng đã giảm lãi suất huy động vốn cho các hình thức vay khác nhau. Điều này
giúp tiết kiệm chi phí vốn đầu tư cho doanh nghiệp, đẩy mạnh hơn sự phát triển của Vinfast.
Trong bối cảnh phức tạp từ các yếu tố nội và ngoại lực, Nền kinh tế Việt đã chịu
nhiều ảnh hưởng tiêu cực. Tuy nhiên, kinh tế – xã hội nước ta trong 6 tháng đầu năm
2023 đã có những thành tựu khả quan, kinh tế vĩ mô ổn định, các cân đối lớn được bảo
đảm, lạm phát được kiểm soát ở mức hợp lý. 15
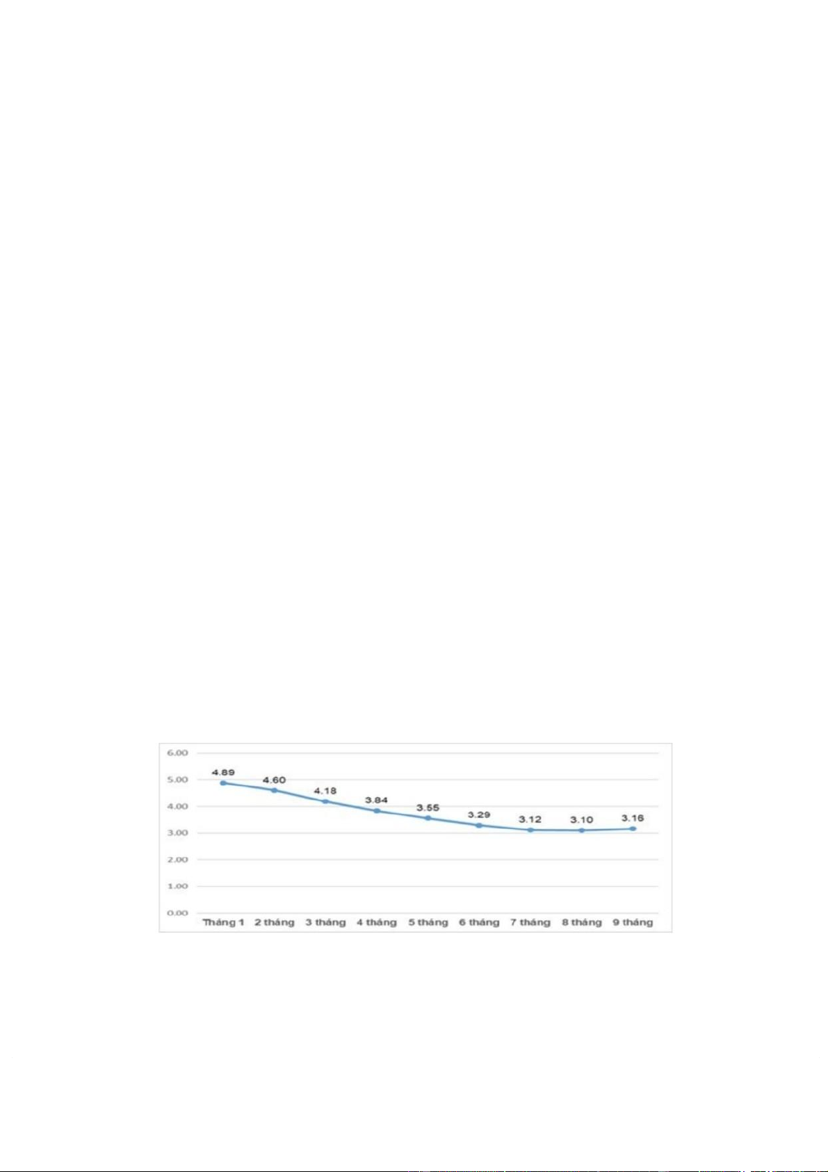
Hình 2.1: Mức độ tăng trưởng GDP 6 tháng đầu năm 2023
(Nguồn: https://chuyengiamarketing.com/moi-truong-vi-mo-cua-vinfast/)
Tỷ giá hối đoái vẫn tăng ổn định qua các năm với mức 22,373 năm 2017 và
22,606 năm 2018, tăng 1,04% so với năm trước. Tỷ giá hối đoái có ảnh hưởng tới sức
cạnh tranh của sản phẩm trên thị trường quốc tế. Khi giá cả sản phẩm nội địa rẻ tương
đối so với sản phẩm cùng loại trên thị trường quốc tế thì khả năng cạnh tranh của sản
phẩm tăng lên, do đó xuất khẩu có xu hướng tăng. Điều này mở ra những dự báo khả
quan cho việc nhập khẩu các nguyên liệu đầu vào với giá thành rẻ hơn.
Môi trường chính trị
Các chính sách, quy định và hỗ trợ từ nhà nước cho ngành công nghiệp ô tô và xe
máy điện. Vinfast được miễn thuế nhập khẩu linh kiện, giảm thuế tiêu thụ đặc biệt và
thuế thu nhập doanh nghiệp trong một số năm đầu. Vinfast cũng được thủ tướng
Nguyễn Xuân Phúc động viên và khen ngợi trong lễ khánh thành nhà máy sản xuất ô tô tại Hải Phòng
Các mối quan hệ ngoại giao và thương mại với các nước khác. Vinfast phải chịu
ảnh hưởng từ những căng thẳng và xung đột chính trị quốc tế, như cuộc chiến thương
mại Mỹ - Trung, Brexit và dịch Covid-19.
Các tiêu chuẩn và quy định về bảo vệ môi trường và tiết kiệm năng lượng.
Vinfast phải tuân thủ các quy định về kiểm soát khi thai xe môtô, gắn máy. Vinfast
cũng phải đáp ứng nhu cầu người tiêu dùng về các loại xe xanh, thông minh và an
toàn. Trong bối cảnh ô nhiễm môi trường ngày càng báo động, thúc đẩy công nghệ
“xe xanh” thông minh. Vinfast và các doanh nghiệp ô tô đang từng bước chuyển đổi
thay thế và nhận được sự động viên, hỗ trợ chính phủ Việt Nam. Đây là lợi thế của
thương hiệu này trong quá trình phát triển lâu dài.
Mặc dù Vinfast cũng chịu mức thuế theo pháp luật Việt Nam như các doanh
nghiệp ô tô khác như thuế xuất, nhập khẩu, VAT, … Thế nhưng đây là thương hiệu xe
Việt Nam đầu tiên nên nhận được nhiều ưu đãi từ Chính phủ. Trong giai đoạn đầu, 16
Vinfast được áp dụng chính sách “3 Không” là không chi phí, không chi phí khấu hao và không lãi.
Môi trường pháp luật
VinFast phải tuân thủ các quy định và quy chuẩn của ngành công nghiệp ô tô
trong các quốc gia và khu vực mà họ hoạt động. Điều này bao gồm các quy định về
thiết kế, sản xuất, chất lượng, kiểm định, an toàn và bảo vệ môi trường.
Tuân thủ các quy định và quy chuẩn về bảo vệ môi trường trong quá trình sản
xuất, vận hành và xử lý xe ô tô. Điều này bao gồm việc đảm bảo tuân thủ các quy định
về khí thải, tiếng ồn, tiêu thụ năng lượng và tái chế vật liệu.
Chấp hành các quy định và quy chuẩn về quyền sở hữu trí tuệ trong việc thiết
kế và sản xuất xe ô tô. Điều này bao gồm việc đảm bảo rằng các sản phẩm và công
nghệ của họ không vi phạm quyền sở hữu trí tuệ của người khác và đáp ứng các yêu
cầu pháp lý về bảo vệ quyền sở hữu trí tuệ của mình.
Môi trường văn hóa – xã hội
Văn hóa ảnh hưởng quản lý: Mỗi xã hội có nét văn hóa riêng, thể hiện qua cách
nhận thức và định giá các giá trị và tiêu chuẩn xã hội. Những yếu tố văn hóa này quyết
định các quyết định quản lý. Các nhà quản lý cần hiểu và nắm bắt được những quan
điểm và tiêu chuẩn văn hóa để có những quyết định quản lý hợp lý, tránh những sai lầm khó khắc phục.
Giao thông đô thị khó khăn: Ở Việt Nam, số lượng phương tiện giao thông
nhiều hơn cơ sở vật chất kỹ thuật giao thông. Cơ sở hạ tầng giao thông thiếu hụt,
xuống cấp, thiếu liên kết, gây trở ngại cho các dự án giao thông và di chuyển của
người dân. Phương tiện giao thông công cộng ít, xe cá nhân tăng nhanh, đặc biệt là xe
máy và xe đạp điện, xe máy điện.
- Ùn tắc và tai nạn giao thông: Do mật độ xe cao, nhiều công trình xây dựng, bố
trí giao thông không khoa học, ý thức giao thông chưa cao… giao thông ở các thành
phố ngày càng tồi tệ. Có nhiều điểm nguy hiểm, dễ gây ùn tắc và tai nạn giao thông.
Nhiều người vi phạm luật giao thông như uống rượu bia khi lái xe, vượt đèn đỏ, lấn
làn, đi ngược chiều, dừng đỗ xe sai quy định… 17
Môi trường tự nhiên
Doanh nghiệp trong ngành phải có sự hiểu biết kỹ lưỡng để đưa ra những quyết
định đúng đắn cho sản phẩm của mình. Trong điều kiện tự nhiên như Việt Nam khí
hậu nhiệt đới gió mùa, nóng ẩm và mưa nhiều, bụi. Đây cũng chính là điểm có nhiều
sự khác biệt đối với ngành ô tô của các quốc gia khác. Điều kiện tự nhiên sẽ quyết
định đến nhu cầu của người tiêu dùng về các yêu cầu và đặc tính của xe. Muốn hiểu
được những đặc tính đó, đòi hỏi phải là doanh nghiệp phải nắm và tìm hiểu kĩ những
đặc điểm của địa hình, thời tiết, khí hậu và điều kiện môi trường... Đây cũng có thể coi
là lợi thế cho các hãng xe trong nước, bởi chính các hãng xe này hiểu được địa hình,
nắm được thổ địa và tình hình khí hậu nơi đây. Cần phải xác định xem nếu là một
người bản địa, sống tại đây thì khách hàng muốn sở hữu một chiếc xe như thể nào để
chống lại với những điều kiện của môi trường. Nắm bắt được vấn đề này nên Vinfast
đã không ngừng đổi mới công nghệ, giới thiệu các dòng xe tiết kiệm nhiên liệu, giảm
phát thải và thân thiện với môi trường.
Môi trường công nghệ
Công nghệ định hình kinh tế: Công nghệ quyết định sự thay đổi và phát triển
nền kinh tế toàn cầu. Công nghệ tạo ra hoặc tiêu diệt các ngành kinh tế mới, phụ thuộc
vào cách con người sử dụng và quản lý, mang lại hiệu quả và tiện ích cho xã hội qua
các sản phẩm, quy trình và vật liệu mới. Tuy nhiên, công nghệ cũng đòi hỏi sự đổi
mới và thích ứng liên tục, vì tốc độ thay đổi công nghệ rất nhanh.
Công nghệ trong ngành ô tô - xe máy: Đây là một trong những ngành có sự tiến
bộ công nghệ mạnh. Công nghệ ảnh hưởng đến thiết kế, chất lượng và giá trị sử dụng
các loại xe, cũng như nguồn nhiên liệu và môi trường. Hiện nay, ngành ô tô - xe máy
đang phải giải quyết những thách thức về nguồn nhiên liệu bị cạn kiệt, ô nhiễm môi
trường và an toàn giao thông.
Công nghệ trong Vinfast: Vinfast đã áp dụng những công nghệ tiên tiến nhất
trong ngành ô tô - xe máy, như công nghệ điện tử, công nghệ pin, công nghệ trí tuệ
nhân tạo và công nghệ 5G, công nghệ ADAS. Hãng cũng đã hợp tác với các đối tác
công nghệ hàng đầu thế giới, như Google, Microsoft và Amazon. Vinfast cũng đã đầu 18
tư nhiều vào nghiên cứu và phát triển các sản phẩm và dịch vụ mới, như xe điện, xe tự lái và xe chia sẻ.
Tuy nhiên, Vinfast cũng phải đối mặt với những thách thức về công nghệ, như sự
thay đổi nhanh chóng xu hướng và tiêu chuẩn công nghệ, sự bảo mật và an toàn dữ
liệu và hệ thống, và sự cạnh tranh về sở hữu trí tuệ.
2.1.2 Môi trường vi mô
Đối thủ cạnh tranh
Thị trường xe máy điện Việt Nam phân rõ hai mảng, nội địa và nhập khẩu, trong
đó đa phần xuất xứ từ Trung Quốc. Cách đây khoảng 10 năm, xe máy điện Trung
Quốc bắt đầu du nhập vào nước ta và được người Việt đón nhận bởi giá thành rẻ,
không cần đổ xăng và không cần bằng lái. Tuy nhiên, theo thời gian, những nhược
điểm của các mẫu xe này dẫn lộ diện sau khoảng 2 năm sử dụng. Sự xuất hiện của xe
máy điện Klara khiến thị trường có thêm lựa chọn xe điện lắp ráp trong nước, so với
sự lấn lướt của xe nhập khẩu Trung Quốc trước đây.
Nhưng không chỉ VinFast nhìn thấy tiềm năng của thị trường xe máy điện ở Việt
Nam. Ngay sau VinFast, một số hãng xe máy điện ngoại cũng chính thức bước chân
vào Việt Nam với mong muốn chiếm lĩnh thị phần khi còn ít đối thủ. Tháng 9/2019,
hãng xe máy điện Hàn Quốc MBI chính thức góp mặt tại thị trường Việt Nam.
Thương hiệu này ra mắt 3 phiên bản khác nhau là Mbi X, Mbi S và Mbi V với giá bán
từ 39.800.000 - 59.000.000 đồng. Mức giá cao hơn hẳn so với VinFast Klara. Tuy
nhiên, theo đánh giá của nhiều người, MBI không chỉ có thiết kế bắt mắt và nhiều
công nghệ mà còn rất chất lượng. Dù có mức giá cao nhưng đây chắc chắn sẽ là đối
thủ khó nhằn của VirFast.
So sánh VinFast với các đối thủ lâu năm, có thể thấy hệ thống phân phối của
hãng xe này không hề lép về. Chưa đầy 1 năm hệ thống đại lý của VinFast sẽ đạt tới
con số 76 đại lý kinh doanh ô tô VinFast. Với số lượng địa chỉ đại lý như vậy VinFast
sẽ có kênh phân phối rộng lớn hơn cả Hyundai Thành Công (70 đại lý) hay Toyota
Motor Việt Nam (56 đại lý). Khách hàng 19
Dễ thấy rằng Vingroup đang có một danh sách khách hàng tiềm năng khổng lồ,
những người đang sử dụng bất động sản, du lịch, khám bệnh hay có con đi học tại các
doanh nghiệp thành viên. Vingroup cũng có quá nhiều địa điểm đẹp để mở các
showroom phân phối. Do đó, VinFast sẽ có một lợi thế nhất định.
Các khách hàng bên ngoài của VinFast là những người có nhu cầu sử dụng xe
máy điện và xe ô tô, không phân cấp thu nhập. Thậm chí, họ có thể là nhân viên của
công ty Vinfast - những người quảng cáo thương hiệu hiệu quả nhất. Đối với VinFast,
đứng trên góc độ khách hàng, doanh nghiệp này đã quan tâm đến:
+ Nhu cầu người tiêu dùng tăng: các cư dân thành phố Hà Nội và Hồ Chí Minh
ngày càng có nhu cầu sử dụng các phương tiện “sạch”. Vì vậy, Vinfast sản xuất xe
máy điện Klara phiên bản ắc quy axit chỉ và pin lithium-ion, gọn, nhẹ và bảo vệ môi trường.
+ Giá cả hợp lý với phân khúc thị trường: VinFast giới thiệu tiếp dòng xe SUV và
sedan mang biểu tượng VinFast hình chữ "V". Giá của 1 sản phẩm là 336 triệu đồng,
rẻ hơn những hãng xe trước đó cùng phân khúc có giá hơn 400 triệu đồng.
+ Chất lượng là yếu tố quan trọng nhất: Theo VinFast, các mẫu xe trải qua hàng
trăm bài kiểm tra về tiêu chuẩn chất lượng và độ trước khi tiến hành sản xuất hàng loạt. Nhà cung cấp
Hiện tại, Vinfast đã thiết lập mối quan hệ chặt chẽ với nhiều tập đoàn uy tín trên
toàn thế giới như Bosch (nhà cung cấp công nghệ và linhkiện ô tô lớn nhất thế giới),
Siemens AG (hãng thiết bị công nghiệplớn nhất CHLB Đức và châu Âu) … ngoài ra
Vinfast cũng mua bản quyền sở hữu trí tuệ của BWM để sản xuất ô tô (nhà máy sản
xuất động cơ danh tiếng của Đức).
Nhằm thực hiện mục tiêu đưa tỷ lệ nội địa hóa xe lên 60%, VinFast đã bắt tay với
nhà cung cấp trong nước là An Phát – tập đoàn nhựa hàng đầu Đông Nam Á, chuyên
về xuất khẩu bao bì màng mỏng. Thời gian gần đây, An Phát tham gia mạnh vào
ngành công nghiệp phụ trợ ô tô - xe máy, thông qua việc mua lại nhà máy Nhựa Hà
Nội với các khách hàng lớn như Toyota, Honda, Piaggio... Sau khi thành lập nên liên 20
doanh VinFast - An Phát (VAPA), 100% sản phẩm trước mắt của VAPA sẽ được
cung cấp cho nhà máy của VinFast. Nhờ vậy, tỷ lệ nội địa hóa của mỗi chiếc xe ô tô,
xe máy của VinFast sẽ được tăng lên, giúp hiện thực hóa giấc mơ xe Việt của VinFast.
Sản phẩm thay thế
Nhà sản xuất ô tô khác: Một môi trường vi mô quan trọng là sự cạnh tranh từ các
nhà sản xuất ô tô khác, đặc biệt là những công ty có sản phẩm tương tự hoặc thay thế
trực tiếp cho những mẫu xe của VinFast. Các đối thủ như Toyota, Honda, Ford,
Chevrolet, Hyundai, và nhiều hãng khác có thể cung cấp các mẫu xe có tính năng và
giá trị tương tự, và cạnh tranh với VinFast trong việc thu hút và giữ chân khách hàng.
Xe điện: Các nhà sản xuất xe điện như Tesla, Nissan, BMW, và Volkswagen đã
tạo ra sự cạnh tranh mạnh mẽ trong lĩnh vực này. Với xu hướng tăng cường sự nhạy
bén với môi trường và sự chuyển đổi sang xe điện, VinFast cần cân nhắc và đáp ứng
xu hướng này bằng cách cung cấp các mẫu xe điện hiệu suất cao và hệ thống sạc nhanh.
Các phương thức vận chuyển thay thế: Ngoài ô tô, các phương thức vận chuyển
thay thế như xe máy điện, xe đạp điện và xe tay ga cũng có thể tạo ra môi trường cạnh
tranh cho VinFast, đặc biệt là trong các thành phố đông đúc. VinFast cần xem xét các
xu hướng này và tìm cách tạo ra các sản phẩm và dịch vụ phù hợp để đáp ứng nhu cầu
di chuyển của khách hàng.
Đối thủ tiềm ẩn
Các nhà sản xuất ô tô truyền thống như Toyota, Honda, Ford, General Motors, và
Volkswagen có thể được coi là đối thủ tiềm ẩn của VinFast. Những công ty này có
quy mô lớn, kinh nghiệm sản xuất ô tô từ lâu, và thương hiệu đã được khẳng định trên
thị trường. Sự cạnh tranh với các đối thủ này đòi hỏi VinFast phải đáp ứng được chất
lượng, hiệu suất và giá trị tốt hơn để thu hút và giữ chân khách hàng.
Trong các năm gần đây, đã xuất hiện nhiều startup ô tô và công nghệ mới, như
Rivian, Lucid Motors, NIO và Xpeng, có tiềm năng trở thành đối thủ tiềm ẩn của
VinFast. Những công ty này đang tập trung vào phát triển ô tô điện và công nghệ xe tự 21
lái, và chúng có thể tạo ra sự cạnh tranh mạnh mẽ trong lĩnh vực này. VinFast cần
theo kịp và đáp ứng xu hướng công nghệ mới này để không bị tụt lại.
Các thương hiệu ô tô quốc tế đã được khẳng định trên thị trường như BMW,
Mercedes-Benz, Audi và Lexus có thể cạnh tranh với VinFast trong phân khúc cao
cấp và xe sang. Những thương hiệu này có lợi thế về thương hiệu, chất lượng và công
nghệ nâng cao. VinFast cần tạo ra giá trị độc đáo và thu hút khách hàng bằng cách
cung cấp những tính năng và trải nghiệm đặc biệt mà các đối thủ này không có.
2.1.3 Môi trường bên trong Nhân sự
Đội ngũ nhân sự: VinFast có một đội ngũ nhân sự đa dạng, bao gồm các chuyên
gia, kỹ sư, nhân viên sản xuất, kỹ thuật viên và nhân viên hỗ trợ khác. Đội ngũ nhân
sự của VinFast được chọn lọc kỹ càng và đáp ứng các tiêu chuẩn chất lượng cao.
Đào tạo và phát triển: VinFast đặt sự quan trọng vào đào tạo và phát triển nhân
sự. Công ty cung cấp các chương trình đào tạo chuyên sâu để nâng cao kỹ năng và
năng lực của nhân viên. Đồng thời, VinFast cũng tạo cơ hội cho nhân viên phát triển
sự nghiệp thông qua các chương trình thăng tiến và mentorship.
Thăng tiến và đánh giá hiệu suất: VinFast có hệ thống thăng tiến và đánh giá hiệu
suất công bằng và minh bạch. Nhân viên được đánh giá dựa trên thành tích làm việc
và khả năng đóng góp vào sự phát triển của công ty. Điều này tạo động lực và khuyến
khích sự phát triển cá nhân. Tài chính
Tổ chức tài chính: VinFast có một tổ chức tài chính chuyên nghiệp và cung cấp
các dịch vụ tài chính như quản lý tài sản, quản lý rủi ro, quản lý vốn và quản lý nguồn
lực tài chính. Tổ chức tài chính của VinFast có nhiệm vụ đảm bảo việc quản lý tài
chính hiệu quả và bền vững.
Nguồn vốn: VinFast đã đầu tư một lượng lớn nguồn vốn để phát triển và mở rộng
hoạt động kinh doanh. Công ty đã huy động vốn từ các nguồn khác nhau như vốn sở
hữu, vốn vay và các đối tác đầu tư. Nguồn vốn đủ mạnh giúp VinFast thúc đẩy sự phát
triển và đảm bảo hoạt động kinh doanh liên tục. 22
Quản lý tài chính: VinFast có hệ thống quản lý tài chính chặt chẽ để đảm bảo sự
hiệu quả và minh bạch trong việc quản lý nguồn lực tài chính. Công ty thực hiện các
biện pháp kiểm soát tài chính, dự báo và lập kế hoạch tài chính, quản lý rủi ro và thực
hiện các biện pháp tài chính để đảm bảo sự ổn định và phát triển bền vững. Văn hóa
Sáng tạo và đổi mới: Văn hóa của VinFast đặt sự sáng tạo và đổi mới làm trọng
tâm. Công ty khuyến khích sự tư duy sáng tạo và khám phá ý tưởng mới để nâng cao
sản phẩm và dịch vụ. VinFast tạo điều kiện cho nhân viên thể hiện ý tưởng của mình
và khuyến khích sự đổi mới trong mọi khía cạnh của công việc.
Sự đoàn kết và đồng đội: Văn hóa của VinFast tạo ra một môi trường làm việc
đoàn kết và đồng đội. Công ty thúc đẩy sự hợp tác và chia sẻ thông tin giữa các bộ
phận và cá nhân. Sự đồng đội được khuyến khích để đạt được mục tiêu chung và thành công của công ty.
Trách nhiệm xã hội: VinFast đặt trọng tâm vào việc thực hiện trách nhiệm xã hội
và bảo vệ môi trường. Công ty cam kết sản xuất các sản phẩm ô tô thân thiện với môi
trường và thúc đẩy các hoạt động xã hội có ý nghĩa. Văn hóa này tạo động lực cho
nhân viên và gắn kết hơn với mục tiêu xã hội của công ty.
Nghiên cứu phát triển
VinFast có một đội ngũ nghiên cứu và phát triển tài năng và giàu kinh nghiệm.
Công ty tập hợp các chuyên gia và kỹ sư có kiến thức và kỹ năng chuyên sâu trong
lĩnh vực ô tô. Đội ngũ này có khả năng tiếp cận công nghệ tiên tiến và ứng dụng
những ý tưởng sáng tạo vào quá trình phát triển sản phẩm.
VinFast áp dụng quy trình nghiên cứu và phát triển chặt chẽ và hiệu quả. Công ty
tiến hành các giai đoạn nghiên cứu, thiết kế, mô phỏng, thử nghiệm và sản xuất mẫu
để đảm bảo chất lượng và tuân thủ các tiêu chuẩn quốc tế. Quy trình này giúp VinFast
tối ưu hóa quá trình phát triển sản phẩm và đảm bảo sự đúng hẹn và chất lượng cao.
VinFast đầu tư một số lượng đáng kể nguồn lực vào hoạt động nghiên cứu và phát
triển. Công ty dành sự chú trọng cho việc nghiên cứu và áp dụng công nghệ mới, cải tiến 23