Chương 2: Hàm số lũy thừa. Hàm số mũ và hàm số logarit
Danh sách Tài liệu
-
Bài tập phương trình mũ
98 49 lượt tải 5 trangBài tập phương trình mũ là bài tập giải tích lớp 12, tổng hợp các dạng và cách giải phương trình mũ: dùng phép biến đổi tương đương, phương pháp đặt ẩn phụ, phương pháp lôgarit hóa... Hi vọng tài liệu này sẽ giúp các bạn học tốt môn Toán 12. Mời các bạn tham khảo chi tiết tại đây nhé.
Môn: Toán 12Chủ đề: Chương 2: Hàm số lũy thừa. Hàm số mũ và hàm số logaritDạng: Bài tậpTác giả: Nguyễn Vân1 năm trước -
Câu hỏi trắc nghiệm môn Toán lớp 12: Phương trình lôgarit
116 58 lượt tải 2 trangCâu hỏi trắc nghiệm môn Toán lớp 12: Phương trình lôgarit là tài liệu hay dùng cho ôn thi THPT Quốc gia. Quý thầy cô và các em học sinh có thể tải về làm tài liệu tham khảo hữu ích.
Môn: Toán 12Chủ đề: Chương 2: Hàm số lũy thừa. Hàm số mũ và hàm số logaritDạng: Bài tậpTác giả: Nguyễn Vân1 năm trước -
Giải SBT Toán 12 bài 5: Phương trình mũ và phương trình logarit
106 53 lượt tải 9 trangMời các bạn học sinh tham khảo tài liệu Giải SBT Toán 12 bài 5: Phương trình mũ và phương trình logarit, chắc chắn nội dung tài liệu sẽ giúp các bạn học sinh đạt kết quả cao hơn trong học tập.
Môn: Toán 12Chủ đề: Chương 2: Hàm số lũy thừa. Hàm số mũ và hàm số logaritDạng: Bài tậpTác giả: Nguyễn Vân1 năm trước -
Bảng công thức Tích phân - Đạo hàm - Mũ - Logarit
136 68 lượt tải 2 trangTổng hợp bảng các công thức tích phân, công thức đạo hàm, công thức nguyên hàm, mũ, logarit đầy đủ dưới đây sẽ giúp các bạn học sinh ôn thi THPT Quốc Gia, học môn Toán tốt hơn.
Môn: Toán 12Chủ đề: Chương 2: Hàm số lũy thừa. Hàm số mũ và hàm số logaritDạng: Lý thuyếtTác giả: Nguyễn Vân1 năm trước -
9 phương pháp giải phương trình mũ và phương trình lôgarit
124 62 lượt tải 13 trangXin giới thiệu với các bạn một số phương pháp giải phương trình mũ và phương trình lôgarit đưa ra một số phương pháp thường dùng để giải các bài tập về phương trình mũ và phương trình lôgarit. Hy vọng tài liệu này sẽ giúp các bạn trong quá trình học tập môn toán lớp 12 và chuẩn bị cho kì thi tốt nghiệp THPT quốc gia sắp tới đây.
Môn: Toán 12Chủ đề: Chương 2: Hàm số lũy thừa. Hàm số mũ và hàm số logaritDạng: Lý thuyếtTác giả: Nguyễn Vân1 năm trước -
Toán 12 Bài 1: Lũy thừa
101 51 lượt tải 3 trangBộ tài liệu hướng dẫn chi tiết về lũy thừa, căn bậc n, lũy thừa một số hữu tỉ, ... được xây dựng dựa trên kiến thức trọng tâm chương trình Toán 12 và đề thi THPT Quốc gia. Hi vọng tài liệu này sẽ giúp các bạn ôn thi THPT Quốc gia môn Toán trắc nghiệm hiệu quả.
Môn: Toán 12Chủ đề: Chương 2: Hàm số lũy thừa. Hàm số mũ và hàm số logaritDạng: Tài liệuTác giả: Nguyễn Vân1 năm trước -
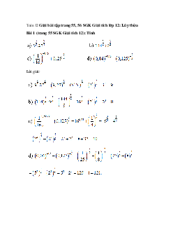
Giải bài tập trang 55, 56 SGK Giải tích lớp 12: Lũy thừa
103 52 lượt tải 5 trangBài viết được tổng hợp gồm có 5 lời giải bài tập trong sách giáo khoa môn Toán giải tích lớp 12 về Lũy thừa. Bài viết giúp bạn đọc luyện tập được cách viết biểu thức dưới dạng lũy thừa với số mũ hữu tỉ, các rút gọn biểu thức... Mời các bạn cùng tham khảo chi tiết và tải về tại đây nhé.
Môn: Toán 12Chủ đề: Chương 2: Hàm số lũy thừa. Hàm số mũ và hàm số logaritDạng: Bài tậpTác giả: Nguyễn Vân1 năm trước -
Giải SBT Toán 12 bài 1: Lũy thừa
98 49 lượt tải 4 trangXin giới thiệu tới các bạn học sinh tài liệu Giải SBT Toán 12 bài 1: Lũy thừa, với nội dung được cập nhật chi tiết và chính xác sẽ là nguồn thông tin hay để giúp các bạn học sính đạt kết quả cao hơn trong học tập.
Môn: Toán 12Chủ đề: Chương 2: Hàm số lũy thừa. Hàm số mũ và hàm số logaritDạng: Bài tậpTác giả: Nguyễn Vân1 năm trước -
Toán 12 Bài 2: Hàm số lũy thừa
113 57 lượt tải 3 trangBộ tài liệu hướng dẫn chi tiết về hàm số lũy thừa, tập các định, khảo sát đồ thị hàm số lũy thừa, ... được xây dựng dựa trên kiến thức trọng tâm chương trình Toán 12 và đề thi THPT Quốc gia. Hi vọng tài liệu này sẽ giúp các bạn ôn thi THPT Quốc gia môn Toán trắc nghiệm hiệu quả.
Môn: Toán 12Chủ đề: Chương 2: Hàm số lũy thừa. Hàm số mũ và hàm số logaritDạng: Bài tậpTác giả: Nguyễn Vân1 năm trước -
Giải bài tập trang 60, 61 SGK Giải tích lớp 12: Hàm số lũy thừa
170 85 lượt tải 6 trangĐã tổng hợp bài tập trang 60, 61 SGK lớp 12 và kèm theo cách giải chi tiết sẽ giúp các em học sinh học tập hiệu quả hơn. Mời các bạn và thầy cô tham khảo tài liệu: Giải bài tập trang 60, 61 SGK Giải tích lớp 12: Hàm số lũy thừa. Mời các bạn cùng tham khảo chi tiết và tải về tại đây nhé.
Môn: Toán 12Chủ đề: Chương 2: Hàm số lũy thừa. Hàm số mũ và hàm số logaritDạng: Bài tậpTác giả: Nguyễn Vân1 năm trước