Đề thi Toán 7
Danh sách Tài liệu
-
Top 15 đề thi HSG cấp huyện Toán 7 có lời giải chi tiết
204 102 lượt tải 74 trangNhằm cung cấp tư liệu để các em học sinh lớp 7 ôn luyện chuẩn bị cho kỳ thi học sinh giỏi Toán lớp 7 cấp huyện, THCS.TOANMATH.com giới thiệu đến các em tài liệu tuyển chọn 15 đề thi HSG cấp huyện
Môn: Toán 7Chủ đề: Đề thi Toán 7Dạng: Đề thiTác giả: VietJack1 năm trước -
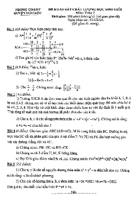
Đề giao lưu HSG Toán 7 năm 2018 – 2019 phòng GD&ĐT Chí Linh – Hải Dương
80 40 lượt tải 4 trangGiới thiệu đến quý thầy, cô giáo và các em học sinh lớp 7 đề giao lưu HSG Toán 7 năm 2018 – 2019 phòng GD&ĐT Chí Linh – Hải Dương; đề thi có đáp án + lời giải chi tiết + hướng dẫn chấm điểm.
Môn: Toán 7Chủ đề: Đề thi Toán 7Dạng: Đề thiTác giả: VietJack1 năm trước -
Đề giao lưu HSG Toán 7 năm 2018 – 2019 phòng GD&ĐT Tam Dương – Vĩnh Phúc
98 49 lượt tải 4 trangGiới thiệu đến quý thầy, cô giáo và các em học sinh lớp 7 đề giao lưu HSG Toán 7 năm 2018 – 2019 phòng GD&ĐT Tam Dương – Vĩnh Phúc; đề thi có đáp án + lời giải + thang điểm.
Môn: Toán 7Chủ đề: Đề thi Toán 7Dạng: Đề thiTác giả: VietJack1 năm trước -
Đề học sinh giỏi huyện Toán 7 năm 2018 – 2019 phòng GD&ĐT Nho Quan – Ninh Bình
87 44 lượt tải 5 trangGiới thiệu đến quý thầy, cô giáo và các em học sinh đề học sinh giỏi huyện Toán 7 năm 2018 – 2019 phòng GD&ĐT Nho Quan – Ninh Bình; đề thi có đáp án, lời giải chi tiết và hướng dẫn chấm điểm.
Môn: Toán 7Chủ đề: Đề thi Toán 7Dạng: Đề thiTác giả: VietJack1 năm trước -
Đề thi học sinh giỏi Toán 7 năm 2018 – 2019 phòng GD&ĐT Đông Hưng – Thái Bình
82 41 lượt tải 6 trangGiới thiệu đến quý thầy, cô giáo và các em học sinh lớp 7 đề thi học sinh giỏi Toán 7 năm 2018 – 2019 phòng GD&ĐT Đông Hưng – Thái Bình; đề thi có đáp án + lời giải chi tiết + hướng dẫn chấm điểm.
Môn: Toán 7Chủ đề: Đề thi Toán 7Dạng: Đề thiTác giả: VietJack1 năm trước -
Đề học sinh giỏi Toán 7 cấp trường năm 2018 – 2019 trường THCS Sông Trí – Hà Tĩnh
121 61 lượt tải 2 trangGiới thiệu đến quý thầy, cô giáo và các em học sinh lớp 7 đề khảo sát đội tuyển học sinh giỏi môn Toán 7 cấp trường năm học 2018 – 2019 trường THCS Sông Trí, thị xã Kỳ Anh, tỉnh Hà Tĩnh; đề thi có lời giải chi tiết và thang chấm điểm.
Môn: Toán 7Chủ đề: Đề thi Toán 7Dạng: Đề thiTác giả: VietJack1 năm trước -
Đề giao lưu HSG Toán 7 năm 2018 – 2019 phòng GD&ĐT Yên Lạc – Vĩnh Phúc
150 75 lượt tải 1 trangGiới thiệu đến quý thầy, cô giáo và các em học sinh đề thi giao lưu học sinh giỏi môn Toán 7 năm học 2018 – 2019 phòng GD&ĐT huyện Yên Lạc, tỉnh Vĩnh Phúc.
Môn: Toán 7Chủ đề: Đề thi Toán 7Dạng: Đề thiTác giả: VietJack1 năm trước -
Đề học sinh giỏi huyện Toán 7 năm 2018 – 2019 phòng GD&ĐT Nậm Nhùn – Lai Châu
89 45 lượt tải 4 trangGiới thiệu đến quý thầy, cô giáo và các em học sinh đề thi chọn học sinh giỏi cấp huyện môn Toán 7 năm học 2018 – 2019 phòng GD&ĐT Nậm Nhùn – Lai Châu; kỳ thi được diễn ra vào ngày 13 tháng 01 năm 2019.
Môn: Toán 7Chủ đề: Đề thi Toán 7Dạng: Đề thiTác giả: VietJack1 năm trước -
Đề khảo sát chọn HSG Toán 7 năm 2018 – 2019 phòng GD&ĐT Xuân Trường – Nam Định
74 37 lượt tải 4 trangĐề khảo sát chọn HSG Toán 7 năm 2018 – 2019 phòng GD&ĐT Xuân Trường – Nam Định gồm 01 trang với 05 bài toán tự luận, thời gian làm bài 120 phút, đề thi nhằm tuyển chọn các em học sinh giỏi môn Toán lớp 7
Môn: Toán 7Chủ đề: Đề thi Toán 7Dạng: Đề thiTác giả: VietJack1 năm trước -
Đề khảo sát HSG Toán 7 năm 2017 – 2018 trường THCS Vũ Phạm Khải – Ninh Bình
115 58 lượt tải 6 trangĐề khảo sát HSG Toán 7 năm 2017 – 2018 trường THCS Vũ Phạm Khải – Ninh Bình có đáp án và lời giải chi tiết, kỳ thi được diễn ra vào ngày 12 tháng 03 năm 2018.
Môn: Toán 7Chủ đề: Đề thi Toán 7Dạng: Đề thiTác giả: VietJack1 năm trước