



















Preview text:
BỘ GIÁO DỤC VÀ ĐÀO TẠO
ĐẠI HỌC KINH TẾ TP. HỒ CHÍ MINH TRƯỜNG KINH DOANH KHOA TÀI CHÍNH
SÁP NHẬP, MUA LẠI VÀ TÁI CẤU TRÚC DOANH NGHIỆP BÀI THU HOẠCH CHƯƠNG 1
GIỚI THIỆU VỀ HOẠT ĐỘNG SÁP NHẬP VÀ MUA LẠI TÊN GIẢNG VIÊN
: TS.NGUYỄN THỊ UYÊN UYÊN MÃ HỌC PHẦN : 25C1FIN50509001 HỌ VÀ TÊN
: NGUYỄN TRẦN THÀNH ĐẠT MÃ SỐ SINH VIÊN : 31231026128
TP HỒ CHÍ MINH, NGÀY 26 THÁNG 10 NĂM 2025 MỤC LỤC
1. XU HƯỚNG M&A TỪ 1985 - NAY ................................................................................. 3
1.1. Xu hướng M&A trên thế giới ......................................................................................... 3
1.2. Xu hướng M&A tại một số khu vực ............................................................................... 4
1.3. Xu hướng M&A tại Việt Nam giai đoạn 1990 – nay .................................................... 6
1.4. Mức “premium” trung bình được trả (1990–2013) ...................................................... 7
1.5. Tỷ lệ P/E trung bình được chào mua (1990–2013) ....................................................... 8
2. TỔNG QUAN VỀ HOẠT ĐỘNG SÁP NHẬP, HỢP NHẤT; MUA LẠI, THÂU
TÓM & THOÁI VỐN ............................................................................................................ 9
2.1. TỔNG QUAN VỀ SÁP NHẬP, HỢP NHẤT; MUA LẠI, THÂU TÓM & THOÁI
VỐN .......................................................................................................................................... 9
2.1.1. Sáp nhập doanh nghiệp ................................................................................................ 9
2.1.2. Hợp nhất doanh nghiệp ................................................................................................ 9
2.1.3. Mua lại doanh nghiệp ................................................................................................. 10
2.1.4. Thâu tóm doanh nghiệp ............................................................................................. 11
2.1.5. Thoái vốn doanh nghiệp ............................................................................................. 13
2.2. CÁC HÌNH THỨC SÁP NHẬP ................................................................................... 14
2.2.1 Căn cứ theo hình thức liên kết .................................................................................... 14
2.2.1.1 M&A theo chiều ngang (Horizontal) ...................................................................... 14
2.2.1.2 M&A theo chiều dọc (Vertical) ................................................................................ 14
2.2.1.3 M&A tổ hợp (Conglomerate) ................................................................................... 15
2.2.2 Căn cứ trên phạm vi lãnh thổ ..................................................................................... 16 1
2.2.3 Căn cứ vào chiến lược mua lại hoặc căn cứ vào tính thân thiện của thương vụ ... 16
2.2.4 Căn cứ vào phương thức mua lại ............................................................................... 17
2.2.5 Căn cứ trên phương thức tài trợ ................................................................................ 17
2.3. LỢI ÍCH & RỦI RO CỦA HOẠT ĐỘNG M&A ....................................................... 17
2.3.1. Lợi ích của hoạt động M&A ...................................................................................... 17
2.3.2. Rủi ro của hoạt động M&A ....................................................................................... 18
2.3.2.1. Rủi ro pháp lý ........................................................................................................... 18
2.3.2.2. Rủi ro tài chính......................................................................................................... 18
2.3.2.3. Rủi ro thị trường ...................................................................................................... 18
2.4. CÁC NHÂN TỐ ẢNH HƯỞNG ĐẾN SỰ THÀNH CÔNG HAY THẤT BẠI CỦA
MỘT THƯƠNG VỤ M&A .................................................................................................. 18
2.4.1. Các yếu tố ảnh hưởng đến sự thành công của một thương vụ M&A .................... 18
2.4.2. Các yếu tố ảnh hưởng đến sự thất bại của một thương vụ M&A .......................... 19
2.5. QUY TRÌNH THỰC HIỆN CỦA M&A ...................................................................... 20 2
1. Xu hướng M&A từ 1985 - nay
1.1. Xu hướng M&A trên thế giới
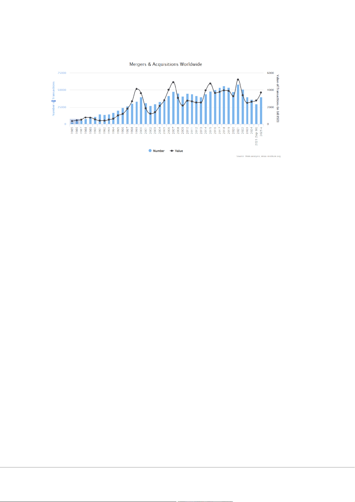
Hình 1.1.1: Số lượng và giá trị thương vụ trên thế giới từ 1985 - nay
Biểu đồ về số lượng và giá trị các thương vụ M&A toàn cầu giai đoạn 1985–2025 cho thấy xu
hướng tăng trưởng mạnh mẽ nhưng mang tính chu kỳ rõ rệt. Từ mức rất thấp vào những năm
1980, hoạt động M&A bắt đầu tăng lên trong thập niên 1990 và bùng nổ đáng kể vào giai đoạn
1997–2000 dưới tác động của làn sóng công nghệ và bong bóng Dot-com, thể hiện qua sự gia
tăng đột biến của giá trị giao dịch. Mặc dù số lượng thương vụ tiếp tục tăng đều qua các năm,
giá trị M&A lại biến động mạnh hơn do sự xuất hiện của những thương vụ có quy mô “khổng
lồ” giữa các tập đoàn toàn cầu. Đỉnh cao tiếp theo xuất hiện vào năm 2007, ngay trước khủng
hoảng tài chính toàn cầu 2008, sau đó cả giá trị và số lượng giao dịch đồng loạt suy giảm. Giai
đoạn hậu khủng hoảng chứng kiến sự phục hồi ổn định, đặc biệt là từ năm 2015 trở đi, với sự
dẫn dắt của các ngành công nghệ, dược phẩm và tài chính. Năm 2021 đánh dấu kỷ lục mới khi
giá trị thương vụ đạt đỉnh do chi phí vốn rẻ và chiến lược mở rộng quy mô hậu COVID-19,
nhưng từ 2022 trở đi, hoạt động M&A lại chững lại do lạm phát và thắt chặt chính sách tiền
tệ. Nhìn chung, biểu đồ phản ánh rằng M&A không chỉ phụ thuộc vào số lượng giao dịch, mà
còn chịu ảnh hưởng lớn từ bối cảnh kinh tế vĩ mô và xu hướng tái cấu trúc chiến lược của các tập đoàn toàn cầu. 3
1.2. Xu hướng M&A tại một số khu vực
Hình 1.2.1: Số lượng thượng vụ và giá trị M&A tại Châu Âu từ 1985 - nay
Biểu đồ về số lượng và giá trị các thương vụ M&A tại Châu Âu từ năm 1985 đến 2025 phản
ánh một quá trình phát triển mạnh mẽ nhưng đầy biến động theo chu kỳ kinh tế khu vực và
toàn cầu. Giai đoạn đầu (1985–1995) chứng kiến sự gia tăng tương đối ổn định về số lượng
giao dịch, song giá trị các thương vụ còn thấp do thị trường vốn châu Âu khi đó vẫn phân
mảnh theo từng quốc gia. Bước sang cuối thập niên 1990, đặc biệt là năm 1999–2000, hoạt
động M&A bùng nổ mạnh mẽ cùng làn sóng toàn cầu hóa và sự hình thành Khu vực đồng tiền
chung Euro, khiến giá trị giao dịch tăng vọt, tạo nên đỉnh đầu tiên. Tuy nhiên, sau giai đoạn
Dot-com và khủng hoảng tài chính 2008, cả số lượng và giá trị giao dịch đều sụt giảm rõ rệt,
cho thấy mức độ nhạy cảm của M&A trước các cú sốc tài chính. Từ năm 2014 trở đi, Châu
Âu phục hồi tương đối ổn định nhờ các thương vụ quy mô lớn trong lĩnh vực ngân hàng, năng
lượng và công nghệ, đạt đỉnh kỷ lục mới vào năm 2021 khi chi phí vốn toàn cầu ở mức thấp.
Dù sụt giảm sau đó do lạm phát và bất ổn địa chính trị, xu hướng chung cho thấy M&A đã trở
thành công cụ chiến lược để các tập đoàn châu Âu tái cấu trúc và mở rộng phạm vi hoạt động.
Biểu đồ không chỉ ghi nhận sự phát triển của thị trường, mà còn phản ánh quá trình hội nhập
kinh tế sâu rộng của châu Âu trong hơn ba thập kỷ qua. 4
Hình 1.2.2: Số lượng thượng vụ và giá trị M&A tại Bắc Mỹ từ 1985 - nay
Hoạt động M&A tại Bắc Mỹ trong giai đoạn 1985–2025 cho thấy xu hướng tăng trưởng dài
hạn nhưng biến động theo chu kỳ kinh tế. Số lượng thương vụ tăng đều từ cuối thập niên 1980
và đạt đỉnh vào giai đoạn 1998–2000, phản ánh làn sóng M&A công nghệ. Giá trị giao dịch
biến động mạnh hơn, với các đỉnh lớn vào các năm 2007 và 2021, gắn liền với thời kỳ tín dụng
rẻ và mở rộng doanh nghiệp. Sau mỗi khủng hoảng, như 2008 hay giai đoạn lạm phát 2022,
giá trị M&A suy giảm nhưng nhanh chóng phục hồi, cho thấy Bắc Mỹ vẫn là trung tâm dẫn
dắt các thương vụ quy mô toàn cầu.
Hình 1.2.3: Số lượng thượng vụ và giá trị M&A tại Châu Á - Thái Bình Dương từ 1990 - nay
Hoạt động M&A tại khu vực Châu Á – Thái Bình Dương từ 1990 đến 2025 cho thấy xu hướng
tăng trưởng ổn định nhưng chịu tác động rõ rệt từ các biến động kinh tế khu vực. Số lượng
thương vụ tăng đều qua các năm, đặc biệt từ sau năm 2005 khi các nền kinh tế mới nổi như
Trung Quốc, Ấn Độ và Hàn Quốc đẩy mạnh toàn cầu hóa doanh nghiệp. Giá trị giao dịch đạt 5
đỉnh vào các năm 2018 và 2021, phản ánh sự xuất hiện của các thương vụ quy mô lớn trong
lĩnh vực công nghệ, tài chính và sản xuất. Tuy nhiên, giai đoạn 2022–2023 chứng kiến sự
chững lại do ảnh hưởng của suy thoái toàn cầu và các căng thẳng địa chính trị. Dù vậy, khu
vực này vẫn duy trì vai trò là động cơ tăng trưởng mới của thị trường M&A toàn cầu nhờ tiềm
năng thị trường rộng lớn và tốc độ chuyển đổi kinh tế nhanh chóng.
1.3. Xu hướng M&A tại Việt Nam giai đoạn 1990 – nay
Hoạt động M&A tại Việt Nam ghi nhận xu hướng tăng trưởng mạnh và ổn định trong dài hạn.
Từ mức gần như bằng 0 trong thập niên 1990, số thương vụ tăng lên hơn 600 vào năm 2018,
với tổng giá trị đạt gần 9 tỷ USD – mức cao nhất trong lịch sử. Dù giai đoạn 2019–2021 có
chững lại do ảnh hưởng của đại dịch COVID-19, thị trường vẫn duy trì sức hấp dẫn, cho thấy
niềm tin của nhà đầu tư vào triển vọng dài hạn của nền kinh tế Việt Nam. 6
1.4. Mức “premium” trung bình được trả (1990–2013)
Hình 1.4: Phần giá trả thêm trung bình trong các thương vụ M&A 1990 - 2023
Biểu đồ thể hiện phần giá trả thêm trung bình trong các thương vụ M&A giai đoạn 1990–2013,
phản ánh mức độ chênh lệch giữa giá mua và giá thị trường của doanh nghiệp mục tiêu. Phần
giá trả thêm (acquisition premium) cho thấy mức độ sẵn sàng của bên mua trong việc chi trả
vượt giá trị hiện tại để sở hữu công ty mục tiêu, thường dựa trên kỳ vọng về lợi ích cộng hưởng
(synergy), mở rộng thị phần hoặc kiểm soát chiến lược. Trong giai đoạn 1990–1995, phần giá
trả thêm dao động khoảng 35–45%, thể hiện sự thận trọng trong các thương vụ. Từ cuối thập
niên 1990 đến đầu những năm 2000, con số này tăng mạnh, đạt đỉnh hơn 60% vào năm 2003–
2004 – trùng với làn sóng M&A toàn cầu, đặc biệt trong lĩnh vực công nghệ và viễn thông, khi
các doanh nghiệp sẵn sàng trả giá cao để thâu tóm công nghệ và khách hàng. Sau khủng hoảng
tài chính 2008, mức premium giảm xuống còn khoảng 40–50%, phản ánh tâm lý thận trọng và
sự đánh giá lại giá trị thực của doanh nghiệp. Xu hướng này cho thấy phần giá trả thêm trong
M&A phụ thuộc chặt chẽ vào chu kỳ kinh tế và mức độ cạnh tranh trên thị trường, khi niềm tin
và kỳ vọng tăng trưởng cao thường kéo theo mức định giá vượt trội. 7
1.5. Tỷ lệ P/E trung bình được chào mua (1990–2013)
Hình 1.5. Tỷ lệ P/E trung bình được chào mua trong các thương vụ M&A giai đoạn 1990 - 2013
Trong hoạt động M&A, chỉ số P/E (Price to Earnings ratio) thể hiện mức giá mà bên mua sẵn
sàng trả cho mỗi đồng lợi nhuận của công ty mục tiêu. Đây là thước đo quan trọng phản ánh kỳ
vọng của nhà đầu tư về khả năng tăng trưởng và sinh lợi trong tương lai của doanh nghiệp bị
mua lại. Khi P/E cao, điều đó thường cho thấy bên mua kỳ vọng lớn vào hiệu ứng cộng hưởng
(synergy) sau sáp nhập hoặc vào tiềm năng mở rộng thị phần, thương hiệu, công nghệ. Ngược
lại, P/E thấp phản ánh sự thận trọng, rủi ro cao hoặc ngành đang bão hòa. Quan sát biểu đồ giai
đoạn 1990–2013 cho thấy tỷ lệ P/E trung bình trong các thương vụ M&A biến động theo chu
kỳ kinh tế: tăng mạnh giai đoạn 1996–2000 và đạt đỉnh vào năm 2000 do bong bóng công nghệ,
sau đó giảm mạnh khi thị trường điều chỉnh (2001–2003), rồi phục hồi trong giai đoạn 2004–
2007 trước khủng hoảng tài chính toàn cầu. Sau năm 2008, P/E ổn định ở mức 18–20 lần, phản
ánh xu hướng đầu tư thận trọng hơn, tập trung vào hiệu quả thực tế thay vì kỳ vọng tăng trưởng
quá mức. Xu hướng này cho thấy P/E không chỉ phản ánh giá trị tài chính mà còn là thước đo
tâm lý và kỳ vọng của thị trường trong từng thời kỳ M&A. 8
2. TỔNG QUAN VỀ HOẠT ĐỘNG SÁP NHẬP, HỢP NHẤT; MUA LẠI, THÂU
TÓM & THOÁI VỐN
2.1. Tổng quan về sáp nhập, hợp nhất; mua lại, thâu tóm & thoái vốn
2.1.1. Sáp nhập doanh nghiệp Tại Mỹ
Là sự kết hơp kinh doanh giữa hai công ty, trong đó một công ty bị mua lại bởi công ty còn lại Tại Việt Nam
Theo khoản 1, Điều 201 Luật Doanh nghiệp 2020, sáp nhập doanh nghiệp được hiểu là một
hình thức tập trung kinh tế, theo đó sẽ có một công ty nhận sáp nhập một hay một số công ty
khác bằng cách chuyển toàn bộ tài sản, quyền, nghĩa vụ và lợi ích hợp pháp sang công ty nhận
sáp nhập, đồng thời chấm dứt sự tồn tại, chấm dứt hoạt động của công ty bị sáp nhập.
Lưu ý: Hoạt động Sáp nhập liên quan đến việc nhập một công ty này vào một công ty khác.
Công ty sáp nhập giữ lại tên và tư cách pháp nhân (Identity) của mình và công ty này
mua tất cả tài sản cũng như các khoản nợ của công ty bị sáp nhập. Sau thương vụ sáp
nhập, công ty bị sáp nhập chấm dứt việc tồn tại như là một công ty độc lập
2.1.2. Hợp nhất doanh nghiệp Tại Mỹ
Là sự kết hợp giữa hai hoặc nhiều công ty để thành lập một công ty hoàn toàn mới. Tại Việt Nam
Điều 200 Luật Doanh nghiệp 2020, hợp nhất doanh nghiệp được định nghĩa như sau: “Hai
hoặc nhiều công ty (gọi là công ty bị hợp nhất) có thể hợp nhất thành một công ty mới (gọi là
công ty hợp nhất), đồng thời các công ty bị hợp nhất sẽ chấm dứt sự tồn tại của mình.”
Phân biệt sáp nhập và hợp nhất
Lưu ý: Hợp nhất là một biến thể đặc biệt của sáp nhập. Một thương vụ sáp nhập khác với
một thương vụ hợp nhất ở đặc điểm là hợp nhất là sự kết hợp kinh doanh mà trong đó hai
hoặc nhiều công ty tham gia để tạo thành một công ty hoàn toàn mới. Tất cả các công ty 9
được hợp nhất sẽ bị giải thể và chỉ có công ty mới thành lập sẽ tiếp tục hoạt động
2.1.3. Mua lại doanh nghiệp Tại Mỹ
Là quá trình một công ty mua lại và tiếp quản một công ty khác Tại Việt Nam
Mua lại doanh nghiệp là việc một doanh nghiệp trực tiếp hoặc gián tiếp mua toàn bộ hoặc một
phần vốn góp, tài sản của doanh nghiệp khác đủ để kiểm soát, chi phối doanh nghiệp hoặc một
ngành, nghề của doanh nghiệp bị mua lại. (Theo Luật Cạnh tranh 2018 tại chương IV, mục 2, điều 19) Hai hình thức mua lại: Tiêu chí Mua lại cổ phiếu Mua lại tài sản
Khái niệm Công ty mua lại cổ phiếu của công ty Công ty mua lại một phần hoặc toàn
mục tiêu từ các cổ đông hiện hữu.
bộ tài sản của công ty mục tiêu.
Hình thức Tiền mặt, cổ phiếu hoặc chứng khoán Tiền mặt hoặc cổ phiếu, tùy giá trị và thanh toán khác. loại tài sản. Mục đích
- Đầu tư sinh lời.- Nắm quyền kiểm - Mở rộng quy mô hoạt động.- Sở hữu
soát hoặc sáp nhập công ty mục tiêu. tài sản quan trọng (nhà máy, công nghệ, thương hiệu...).
Cách thức Mua trực tiếp từ cổ đông (thường qua Cần phê duyệt của cổ đông công ty thực hiện
chào mua công khai), không cần mục tiêu, thường qua nghị quyết. thông qua HĐQT. Kết
quả Thay đổi quyền sở hữu cổ phần; công Thay đổi chủ sở hữu tài sản; công ty pháp lý
ty mục tiêu vẫn có thể tồn tại.
mục tiêu vẫn tồn tại pháp lý. Ưu điểm Nhược điểm 10
Mua lại - Dễ dàng kiểm soát công ty mục tiêu khi nắm cổ
giữ tỷ lệ cổ phần chi phối.
- Có thể gặp khó khăn nếu cổ phiếu
- Thủ tục pháp lý đơn giản hơn, không cần định đông thiểu số không đồng ý bán
giá và chuyển quyền từng tài sản. cổ phần.
- Giữ nguyên cấu trúc tổ chức, thương hiệu và - Công ty mua phải gánh cả nợ
hoạt động của công ty mục tiêu, giúp duy trì giá và nghĩa vụ pháp lý tiềm ẩn của
trị vô hình (goodwill, thương hiệu, nhân sự). công ty mục tiêu.
- Rủi ro bị phản đối hoặc bị cơ
quan quản lý cạnh tranh điều tra
do thay đổi quyền kiểm soát.
Mua lại Không cần có sự hiện diện của cổ đông thiểu số tài sản
như trong thương vụ mua lại cổ phiếu; giúp Chi phí thực hiện cao hơn do
tránh được những rắc rối do cổ đông thiểu số phải tiến hành chuyển quyền sở gây ra.
hữu tài sản trong quá trình mua lại.
2.1.4. Thâu tóm doanh nghiệp Tại Mỹ
Một công ty hoặc nhà đầu tư giành quyền kiểm soát công ty khác thông qua mua cổ phần chi phối. Tại Việt Nam
Thâu tóm (Takeovers) là một hành động xảy ra khi một công ty tìm cách nắm giữ quyền kiểm
soát của một hoặc nhiều công ty khác (được gọi là công ty bị thâu tóm hoặc công ty mục tiêu)
thông qua việc mua toàn bộ hoặc một tỷ lệ cổ phiếu đủ để nắm quyền hoặc chi phối công ty mục tiêu.
Hoạt động thâu tóm bao gồm:
Mua lại: Công ty thâu tóm thực hiện mua lại thông qua sáp nhập, mua lại cổ phiếu hoặc mua
lại tài sản công ty bị thâu tóm. Nếu thâu tóm theo phương thức sáp nhập và mua lại cổ phiếu,
công ty thâu tóm sẽ có quyền biểu quyết của công ty mục tiêu. 11
Giành sự ủy quyền hoặc lôi kéo cổ đông bất mãn: Sự xảy ra khi các cổ đông cố gắng để tranh
lấy vị trí trong Hội đồng quản trị. Nhóm cổ đông này cố gắng giành quyền ủy nhiệm từ các cổ
đông khác để có thể được kiểm soát hoạt động công ty khi đủ số phiếu bầu.
Chuyển đổi công ty cổ phần đại chúng sang công ty cổ phần nội bộ: xảy ra khi một nhóm nhỏ
các nhà đầu tư gồm nhà đầu tư sáng lập và nhà đầu tư bên ngoài mua toàn bộ cổ phần của một
công ty đại chúng, cổ phần công ty bị thâu tóm sau đó không còn được niêm yết trên thị trường.
Hoạt động thâu tóm có thể mang tính chất thân thiện hoặc thù địch.
Phương thức thực hiện thâu tóm và hợp nhất:
Chào thầu (Tender offer): Công ty có ý định mua đứt toàn bộ công ty mục tiêu đề nghị cổ
đông hiện hữu của công ty đó bán lại cổ phần của họ với một mức giá cao hơn thị trường rất nhiều.
Lôi kéo cổ đông bất mãn (Proxy fights): thường được sử dụng trong các vụ “thôn tính mang tính thù địch”.
Thương lượng tự nguyện với ban quản trị và điều hành là hình thức phổ biến trong các vụ sáp
nhập “thân thiện” (friendly mergers).
Phân biệt thâu tóm và hợp nhất: Tiêu chí Hợp nhất (Merger)
Thâu tóm (Acquisition)
Khái niệm Hai hoặc nhiều công ty kết hợp để Một công ty mua lại và kiểm soát công ty
tạo thành một công ty mới, chấm khác bằng cách nắm giữ phần lớn cổ phần
dứt sự tồn tại pháp lý của các công hoặc quyền điều hành. ty cũ. Phương
- Thường trao đổi cổ phiếu giữa - Thường thanh toán bằng tiền mặt,
thức thực các bên.- Các công ty tham gia chứng khoán hoặc kết hợp.- Công ty bị hiện
giải thể, hình thành công ty mới thâu tóm trở thành công ty con; công ty
kế thừa toàn bộ hoạt động.
mẹ vẫn hoạt động độc lập. Hệ quả
- Cổ phiếu cũ bị hủy, công ty mới - Công ty bị mua vẫn tồn tại pháp lý,
phát hành cổ phiếu mới.
nhưng chịu sự kiểm soát của công ty mẹ. 12
- Cổ đông hai bên trở thành nhà - Hoạt động theo chiến lược của bên mua.
đầu tư của công ty mới. Quyền
Các bên chia sẻ quyền quản trị, Công ty mẹ nắm toàn quyền kiểm soát, kiểm soát
thỏa thuận ngay từ khi hợp nhất. đặc biệt trong thâu tóm thù địch có thể
thay đổi cả bộ máy tổ chức.
2.1.5. Thoái vốn doanh nghiệp Tại Mỹ
Công ty mẹ rút vốn hoặc tách/ bán một phần đơn vị kinh doanh Tại Việt Nam
Thoái vốn là hoạt động bán một phần hoặc toàn bộ doanh nghiệp thông qua hình thức bán,
trao đổi hay thực hiện phá sản doanh nghiệp. Thoái vốn còn liên quan đến việc chia tách công ty.
Đây là hình thức tái cấu trúc công ty theo hướng thu hẹp hoạt động kinh doanh.
Đặc điểm pháp lý:
Hình thức Mỹ Việt Nam
Sáp nhập Công ty mục tiêu mất tư cách pháp nhân, trở thành một phần của công ty nhận sáp nhập.
Công ty nhận sáp nhập kế thừa toàn bộ quyền, lợi ích và nghĩa vụ.
Hợp nhất Các công ty cũ chấm dứt tồn tại pháp lý.
Công ty mới tiếp nhận toàn bộ tài sản, quyền và nghĩa vụ Mua lại
Công ty mua trở thành chủ sở hữu mới.
Công ty bị mua có thể tồn tại hoặc giải thể tùy cấu trúc thương vụ.
Thâu tóm Có thể thân thiện hoặc thù địch.
Thường thực hiện qua Tender Offer hoặc Proxy Fight (theo luật Mỹ) 13
Thoái vốn Có thể dưới dạng Spin-off, Sell-off hoặc Carve-out
Mục tiêu: tái cấu trúc hoặc tối ưu vốn
2.2. Các hình thức sáp nhập
2.2.1 Căn cứ theo hình thức liên kết
2.2.1.1 M&A theo chiều ngang (Horizontal)
Là hình thức mua bán, sáp nhập giữa các doanh nghiệp cung cấp các dòng sản phẩm và dịch vụ
giống nhau hoặc tương tự cho người tiêu dùng, có nghĩa là cùng ngành và ở cùng một giai đoạn
sản xuất. Các công ty, trong trường hợp này, thường là đối thủ cạnh tranh trực tiếp.
Lợi ích của loại sáp nhập này là nó loại bỏ sự cạnh tranh, giúp công ty tăng thị phần, doanh thu
và lợi nhuận của mình. Hơn nữa, việc này giúp các doanh nghiệp giảm chi phí cố định, mở rộng
thị trường. Tuy nhiên thì hình thức sáp nhập ngang cũng có thể mang lại sự kiểm tra khắt khe
về mặt pháp lý chủ yếu đến từ các cơ quan chính phủ, những hình thức sáp nhập với quy mô
lớn như vậy là lý do mà những đạo luật chống độc quyền được ra đời. Một nhược điểm có thể
thấy được đó chính là sự sáp nhập ngang sẽ khiến cho doanh nghiệp bành trướng, cùng với đó
là mức giá của sản phẩm tăng cao nhưng những sự lựa chọn về sản phẩm bị giảm.
2.2.1.2 M&A theo chiều dọc (Vertical)
Sáp nhập theo chiều dọc là sự hợp nhất của hai hoặc nhiều công ty cung cấp các chức năng
khác nhau của chuỗi cung ứng vì một lợi ích hoặc dịch vụ chung. Thông thường, việc sáp
nhập được thực hiện để tăng sức mạnh, kiểm soát nhiều hơn quy trình chuỗi cung ứng và phát
triển kinh doanh. Sự sáp nhập theo chiều dọc thường dẫn đến giảm chi phí và tăng năng suất,
đồng thời nâng cao hiệu quả về tài chính cũng như hiệu quả trong quản lý.
Có hai hình thức sáp nhập dọc:
• Sáp nhập tiến: Là hình thức khi một công ty sáp nhập với một công ty khác là khách
hàng của mình hoặc là công ty phân phối sản phẩm cho mình. 14
• Sáp nhập lùi: Là hình thức khi một công ty sáp nhập với một công ty khác là nhà cung
cấp đầu vào của mình. Sau thương vụ sẽ giúp công ty đi sáp nhập chủ động hơn trong
quá trình sản xuất kinh doanh, đặc biệt liên quan đến các yếu tố đầu vào.
Sáp nhập dọc mang lại lợi thế lớn vì được thực hiện nhằm đảm bảo cung cấp các mặt hàng
thiết yếu và tránh sự gián đoạn trong nguồn cung cấp. Loại sáp nhập này cũng được tiến hành
để hạn chế cung cấp cho các đối thủ cạnh tranh, từ đó giúp nâng cao doanh thu và lợi nhuận,
đồng thời giảm chi phí trung gian.
Tuy nhiên, sáp nhập theo chiều dọc cũng có những nhược điểm mà các công ty cần xem xét
trước khi thực hiện. Một trong những rủi ro lớn nhất liên quan đến sáp nhập dọc là khả năng
làm giảm tính cạnh tranh trên thị trường. Khi mua lại nhà cung cấp, công ty sáp nhập có thể
trở nên thống trị hơn, dẫn đến giá cao hơn cho người tiêu dùng. Ngoài ra, hình thức sáp nhập
này còn mang theo những rủi ro về quy định pháp lý vì có thể gây ra lo ngại về độc quyền
trong một số ngành công nghiệp. Do đó, các công ty phải đảm bảo tuân thủ các quy định liên
quan, đặc biệt là các đạo luật chống độc quyền, khi theo đuổi cơ hội sáp nhập theo chiều dọc.
2.2.1.3 M&A tổ hợp (Conglomerate)
Sáp nhập theo kiểu tổ hợp diễn ra giữa hai công ty hoạt động trong lĩnh vực, ngành hoàn toàn
khác nhau. Sáp nhập kiểu tổ hợp xảy ra khi các doanh nghiệp không phải là đối thủ cạnh tranh
và không có mối quan hệ người mua - người bán. Sáp nhập tổ hợp có thể chia thành 3 loại:
• Sáp nhập tổ hợp thuần túy: Đây là hình thức sáp nhập giữa 2 công ty hoạt động trong
những lĩnh vực không có bất cứ mối quan hệ nào với nhau.
• Sáp nhập bành trướng về địa lý: Đây là hình thức sáp nhập giữa 2 công ty sản xuất cùng
một loại sản phẩm nhưng lại tiêu thụ trên 2 thị trường hoàn toàn cách biệt về mặt địa lý.
• Sáp nhập đa dạng hóa sản phẩm: Đây là hình thức sáp nhập giữa 2 công ty sản xuất 2
loại sản phẩm khác nhau nhưng cùng ứng dụng cộng nghệ sản xuất hoặc tiếp thị gần
giống nhau Sáp nhập theo tổ hợp mang lại nhiều lợi ích đáng kể như đa dạng hóa hoạt
động kinh doanh, mở rộng tệp khách hàng và nâng cao hiệu quả hoạt động tổng thể. 15
Nhờ sự đa dạng hóa, doanh nghiệp có thể giảm thiểu rủi ro, bởi nếu một lĩnh vực gặp khó
khăn thì những mảng kinh doanh khác có thể bù đắp phần thiệt hại. Đồng thời, đây cũng là
một cơ hội đầu tư tiềm năng, giúp doanh nghiệp tiếp cận những phân khúc khách hàng mới,
qua đó mở rộng thị phần và tăng doanh thu thông qua hoạt động bán chéo sản phẩm.
Tuy nhiên, loại hình sáp nhập này cũng tiềm ẩn nhiều thách thức. Việc thiếu kinh nghiệm
trong ngành nghề mới có thể ảnh hưởng đến hiệu quả hoạt động của công ty mẹ hoặc công ty
mục tiêu sau khi sáp nhập. Bên cạnh đó, sự thay đổi trọng tâm trong chiến lược kinh doanh có
thể khiến doanh nghiệp sao nhãng lĩnh vực cốt lõi của mình. Một hạn chế đáng kể khác là sự
khác biệt về văn hóa doanh nghiệp, đặc biệt khi các bên hoạt động trong những ngành nghề
khác nhau. Văn hóa tổ chức đóng vai trò rất quan trọng, vì nó chi phối toàn bộ hoạt động của
doanh nghiệp – từ sản xuất, bán hàng, quản trị tài chính cho đến các quyết định chiến lược dài hạn.
2.2.2 Căn cứ trên phạm vi lãnh thổ
Có thể chia thành 2 loại:
• Sáp nhập trong nước (Domestic Merger): Là hình thức mua lại và sáp nhập diễn ra giữa 2
công ty hoạt động trong cùng lãnh thổ quốc gia.
• Sáp nhập xuyên biên (Cross – border Merger): Là hình thức mua lại và sáp nhập diễn ra giữa
2 công ty hoạt động không nằm trong cùng lãnh thổ quốc gia (thuộc ít nhất hai quốc gia khác nhau).
2.2.3 Căn cứ vào chiến lược mua lại hoặc căn cứ vào tính thân thiện của thương vụ
Có thể chia thành hai loại:
• Thương vụ M&A thân thiện (Friendly Takeover): Là trường hợp cả hai công ty đều sẵn sàng
tham gia thương vụ, trên tinh thần cả hai bên cùng có lợi.
• M&A thù địch (Hostile Takeover): Là trường hợp bên chào mua (bidder) tham gia thương
vụ để mua lại một công ty khác, tuy nhiên chỉ bên đi mua là có lợi và mong muốn thực hiện thương vụ. 16
2.2.4 Căn cứ vào phương thức mua lại
Có thể chia thành hai loại:
• Các thương vụ được thực hiện thông qua đàm phán trực tiếp.
• Các thương vụ được thực hiện thông qua đàm phán gián tiếp.
2.2.5 Căn cứ trên phương thức tài trợ
• Mua công ty thông qua việc sử dụng đòn bẩy tài chính (LBOs)
Trong một giao dịch mua lại cổ phần dựa trên vay nợ (LBO), người mua sẽ sử dụng nợ để tài
trợ cho việc mua lại một công ty. LBOS diễn ra khi một công ty vay nợ với mức nợ có thể lên
đến 90%, thậm chí là 100% giá trị thương vụ. Cách thức phổ biến nhất là công ty mua lại sẽ
sử dụng phương thức vay ứng trước (Prepayable Bank Facilities) đồng thời phát hành trái
phiếu ra công chúng hoặc cho một số cá nhân để vay tiền (loại trái phiếu này được xếp vào
loại trái phiếu có lãi suất cao và mức độ rủi ro cũng rất cao). Thông thường công ty đi mua sẽ
sử dụng tài sản của mình để thế chấp và sử dụng dòng tiền tự do của công ty mục tiêu để hoàn trả nợ vay.
• Mua công ty bằng vốn chủ sở hữu (MBOs)
MBOS là trường hợp mua lại đặc biệt xảy ra khi các giám đốc của công ty mục tiêu tiến
hành mua lại phần lớn cổ phiếu của công ty từ những người chủ thực sự để chuyển từ vị trí
“làm công ăn lương” sang vị trí “làm chủ doanh nghiệp” với mục tiêu là để gia tăng quyền
kiểm soát công ty. Đa số trường hợp, sau khi thực hiện MBOS, ban quản trị công ty thường
có xu hướng chuyển công ty cổ phần đại chúng thành công ty tư nhân.
Chú ý: Ngoài các hình thức trên, hiện nay còn có một hình thức gọi là sáp nhập ngược.
Chẳng hạn như một công ty tư nhân có thể thông qua việc mua lại một công ty đại chúng
để trở thành một công ty đại chúng mà không phải trải qua giai đoạn IPO.
2.3. Lợi ích & Rủi ro của hoạt động M&A
2.3.1. Lợi ích của hoạt động M&A
Mở rộng thị trường: Hoạt động M&A giúp doanh nghiệp nhanh chóng mở rộng quy mô và
thâm nhập thị trường mới mà không phải xây dựng hệ thống từ đầu. Thông qua sáp nhập, 17
doanh nghiệp tận dụng mạng lưới sẵn có của bên bị mua để gia tăng độ phủ và chiếm lĩnh thị phần.
Nâng cao hiệu quả hoạt động: M&A còn giúp doanh nghiệp tối ưu chi phí thông qua việc hợp
nhất nguồn lực, giảm trùng lặp chi phí marketing, nhân sự và mặt bằng.
Đa dạng hóa lĩnh vực kinh doanh: Sáp nhập tạo cơ hội để doanh nghiệp mở rộng sang ngành
nghề mới, tăng sức cạnh tranh và giảm rủi ro phụ thuộc.
2.3.2. Rủi ro của hoạt động M&A
2.3.2.1. Rủi ro pháp lý
Rủi ro trong quá trình hoạt động như doanh nghiệp đang bị tạm ngừng, đang nợ thuế hoặc
không tuân thủ các quy định của pháp luật trong quá trình kinh doanh (không có giấy phép
con khi kinh doanh). Rủi ro liên quan đến kiện tụng, tranh chấp về Hợp đồng dân sự, lao động.
Tùy vào từng trường hợp, từng giao dịch thực tế, ngành nghề đặc thù của doanh nghiệp hoặc
tùy thuộc vào thỏa thuận của các bên mua và bán mà bên bán phải cung cấp các hồ sơ pháp lý.
2.3.2.2. Rủi ro tài chính
Đây là rủi ro mà bên mua đặc biệt quan tâm, những rủi ro này có thể liên quan đến việc góp
vốn. Doanh nghiệp chưa góp đủ vốn, nguồn vốn kinh doanh không minh bạch, rủi ro về tài
sản bao gồm việc định giá tài sản không đúng với giá trị thực tế, rủi ro trong các khoản nợ đối
với cơ quan nhà nước và đối tác. Thông thường để kiểm tra, rà soát các nội dung liên quan
đến tài chính bên mua sẽ thuê các đơn vị kiểm toán độc lập để soát xét những rủi ro về tài
chính, đối với tài sản thì thuê bên thẩm định giá để định giá lại doanh nghiệp.
2.3.2.3. Rủi ro thị trường
Lợi thế cạnh tranh thị trường cũng là một trong yếu tố mà bên mua đặc biệt quan tâm. Việc
tận dụng tốt các lợi thế này sẽ giúp bên mua tiết kiệm được rất nhiều thời gian, công tác xây
dựng thị trường mà thay vào đó có thể bắt đầu khai thác những tiềm năng hiện có.
2.4. Các nhân tố ảnh hưởng đến sự thành công hay thất bại của một thương vụ M&A
2.4.1. Các yếu tố ảnh hưởng đến sự thành công của một thương vụ M&A
Động cơ thực hiện rõ ràng và hợp lý: Động cơ thực hiện M&A cần phải rõ ràng và hợp lý,
như mở rộng thị trường, tăng trưởng doanh thu, đạt được hiệu quả cộng hưởng hoặc giảm chi 18
phí. Mục tiêu không rõ ràng hoặc không thực tế có thể dẫn đến thất bại trong việc đạt được lợi
ích kỳ vọng từ thương vụ.
Đa dạng hóa hợp lý: Đa dạng hóa có thể là một chiến lược hiệu quả nếu được thực hiện đúng
đắn. Việc mở rộng sang các lĩnh vực mới giúp doanh nghiệp giảm thiểu rủi ro và tận dụng các
cơ hội tăng trưởng. Tuy nhiên, đa dạng hóa cần phải dựa trên sự phân tích kỹ lưỡng và có kế
hoạch rõ ràng để đảm bảo tính khả thi và hiệu quả.
Tính chuyên môn hóa và sự phù hợp chiến lược: Sự phù hợp chiến lược giữa hai bên là yếu tố
quan trọng quyết định thành công của M&A. Nếu các doanh nghiệp có nền tảng và mục tiêu
chiến lược tương đồng, việc tích hợp sẽ dễ dàng hơn và mang lại hiệu quả cao hơn, có thể mở
rộng chuỗi cung ứng cho bên đi mua.
Giảm rào cản gia nhập và tăng lợi thế cạnh tranh: M&A giúp doanh nghiệp vượt qua các rào
cản gia nhập thị trường mới, như chi phí đầu tư ban đầu, quy định pháp lý và cạnh tranh. Việc
sở hữu các tài sản, công nghệ hoặc mạng lưới phân phối sẵn có từ công ty mục tiêu giúp doanh
nghiệp mới gia nhập có lợi thế cạnh tranh ngay lập tức.
Đánh giá đúng giai đoạn phát triển của lĩnh vực kinh doanh mà công ty mục tiêu đang hoạt
động: Các giai đoạn phát triển bao gồm: khởi sự, tăng trưởng, bão hòa và suy thoái. Khi doanh
nghiệp mua lại đánh giá chính xác và nhận biết đúng giai đoạn của ngành, họ có thể áp dụng
các chiến lược phù hợp, tận dụng cơ hội mở rộng thị phần, đa dạng hóa sản phẩm và tối ưu
hóa chuỗi cung ứng, từ đó giúp công ty sau M&A phát triển bền vững và tăng khả năng sinh lợi.
Lựa chọn công ty bảo lãnh thương vụ M&A uy tín: Việc chọn công ty bảo lãnh uy tín đóng
vai trò quan trọng trong sự thành công của thương vụ M&A. Công ty bảo lãnh giúp đảm bảo
tính minh bạch, hỗ trợ thẩm định, và cung cấp kế hoạch tài chính vững chắc, giúp các bên hiểu
rõ rủi ro và lợi ích. Sự uy tín của công ty bảo lãnh không chỉ nâng cao độ tin cậy của thương
vụ mà còn giúp giải quyết hiệu quả các vấn đề pháp lý và tài chính, từ đó tối đa hóa giá trị thương vụ M&A.
2.4.2. Các yếu tố ảnh hưởng đến sự thất bại của một thương vụ M&A
Động cơ thực hiện không rõ ràng hoặc không thực tế: Nếu động cơ thực hiện M&A không rõ
ràng hoặc không thực tế, doanh nghiệp có thể không đạt được lợi ích kỳ vọng. Việc thiếu kế 19