Chương 2: Hàm số lũy thừa. Hàm số mũ và hàm số logarit
Danh sách Tài liệu
- 
                                20 Bài Toán Thực Tế Khảo Sát Hàm Số Bậc Ba Lớp 12 Giải Chi Tiết10 5 lượt tải 18 trang20 Bài Toán Thực Tế Khảo Sát Hàm Số Bậc Ba Lớp 12 Giải Chi Tiết. Tài liệu gồm 18 trang. Mời các bạn tham khảo Môn: Toán 12Chủ đề: Chương 2: Hàm số lũy thừa. Hàm số mũ và hàm số logaritDạng: Bài tập, Đáp ánTác giả: jang linh1 tuần trước
- 
                                Lý thuyết cực trị hàm số bậc 3 | Toán 12137 69 lượt tải 4 trang1. CỰC TRỊ CỦA HÀM SỐ BẬC 3: . y ax bx cx d a   3 2 0 1.1 SỐ ĐIỂM CỰC TRỊ CỦA HÀM SỐ BẬC 3 Ta có:   2 2 y ax bx c Ax Bx C 3 2 ,    2 2 ' 4 4 3 y B AC b ac Trường hợp Kết luận  2 b ac 3 0 Hàm số không có cực trị.   2 b ac 3 0 Hàm số có hai điểm cực trị. Đối với trường hợp hàm bậc ba có hai điểm cực trị, ta có bài toán tổng quát sau đây: 1.2 BÀI TOÁN TỔNG QUÁT : Cho hàm số      3 2 y f x m ax bx cx d ; . Tìm tham số m để hàm số có cực đại, cực tiểu tại 1 2 x x, thỏa mãn điều kiện K cho trước? Tài liệu được sưu tầm giúp bạn tham khảo, ôn tập và đạt kết quả cao trong kì thi sắp tới. Mời bạn đọc đón xem! Môn: Toán 12Chủ đề: Chương 2: Hàm số lũy thừa. Hàm số mũ và hàm số logaritDạng: Lý thuyếtTác giả: Phạm Thị Huyền8 tháng trước
- 
                                Bài tập về tìm tập xác định của Hàm số mũ Lũy thừa Logarit - Toán 121.6 K 789 lượt tải 6 trangTheo quy ước của sách giáo khoa giải tích 12 thì hàm số lũy thừa có tập xác định phụ thuộc vào lũy thừa. Có tất cả 3 trường hợp khác nhau về lũy thừa ảnh hưởng đến tập xác định là: Lũy thừa với số mũ nguyên dương. Tài liệu giúp bạn tham khảo ôn tập và đạt kết quả cao. Mời bạn đọc đón xem! Môn: Toán 12Chủ đề: Chương 2: Hàm số lũy thừa. Hàm số mũ và hàm số logaritDạng: Bài tậpTác giả: Thu Hoài8 tháng trước
- 
                                Giải phương trình mũ và logarit bằng phương pháp logarit hóa | Toán 12184 92 lượt tải 12 trangI. Giải phương trình mũ bằng phương pháp logarit hóa Dạng 1: f x  a b . Phương pháp giải:Điều kiện: 1 0 a , b 0 . Lấy logarit cơ số a cho hai vế, phương trình trở thành:   loga f x b . Dạng 2: f x g x   a b . Phương pháp giải:Điều kiện: 1 0 a , b 0 . Lấy logarit cơ số a cho hai vế phương trình trở thành:    .loga f x g x b . Tài liệu được sưu tầm giúp bạn tham khảo, ôn tập và đạt kết quả cao trong kì thi sắp tới. Mời bạn đọc đón xem ! Môn: Toán 12Chủ đề: Chương 2: Hàm số lũy thừa. Hàm số mũ và hàm số logaritDạng: Bài tậpTác giả: Phạm Thị Huyền9 tháng trước
- 
                                Chuyên Đề Bất Phương Trình Mũ Và Lôgarit Vận Dụng Cao Ôn Thi Tốt Nghiệp THPT Có Đáp Án Và Lời Giải364 182 lượt tải 30 trangChuyên đề bất phương trình mũ và logarit vận dụng cao ôn thi tốt nghiệp THPT có sẵn đáp án để học sinh dễ dàng đối chiếu so sánh kết quả chuẩn xác hơn. Tài liệu là kiến thức từ cơ bản đến nâng cao khác nhau. Mời các em tham khảo thêm nhé! Môn: Toán 12Chủ đề: Chương 2: Hàm số lũy thừa. Hàm số mũ và hàm số logaritDạng: Đề thiTác giả: ha phan1 năm trước
- 
                                10 Đề Trắc Nghiệm Ôn Tập Chương Mũ Lôgarit Có Đáp Án316 158 lượt tải 24 trang10 đề trắc nghiệm ôn tập chương mũ logarit được biên soạn dưới dạng file PDF gồm 24 trang. Tài liệu là kiến thức từ cơ bản đến nâng cao khác nhau và kèm sẵn đáp án để các em học sinh dễ dàng so sánh kết quả sao cho chuẩn xác nhất. Mời các em tham khảo thêm nhé! Môn: Toán 12Chủ đề: Chương 2: Hàm số lũy thừa. Hàm số mũ và hàm số logaritDạng: Trắc nghiệmTác giả: ha phan1 năm trước
- 
                                60 Câu Trắc Nghiệm Hàm Số Mũ Và Lôgarit Theo Dạng Có Đáp Án207 104 lượt tải 5 trang60 câu trắc nghiệm hàm số mũ và logarit theo được biên soạn dưới dạng file PDF gồm 06 trang. Tài liệu là kiến thức từ cơ bản đến nâng cao khác nhau và kèm sẵn đáp án để các em học sinh dễ dàng so sánh kết quả sao cho chuẩn xác nhất. Mời các em tham khảo thêm nhé! Môn: Toán 12Chủ đề: Chương 2: Hàm số lũy thừa. Hàm số mũ và hàm số logaritDạng: Trắc nghiệmTác giả: ha phan1 năm trước
- 
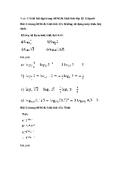
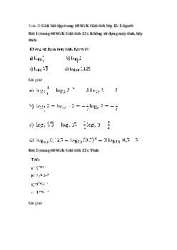
                                Giải bài tập trang 68 SGK Giải tích lớp 12: Lôgarit205 103 lượt tải 4 trangXin giới thiệu tới các bạn học sinh lớp 12 tài liệu: Giải bài tập Toán 12 chương 2 bài 6: Bất phương trình mũ và bất phương trình lôgarit, tài liệu giải chi tiết các bài tập sẽ giúp các em học sinh rèn luyện giải nhanh các bài tập Toán Giải tích lớp 12. Mời các bạn học sinh tham khảo. Môn: Toán 12Chủ đề: Chương 2: Hàm số lũy thừa. Hàm số mũ và hàm số logaritDạng: Bài tậpTác giả: Nguyễn Vân1 năm trước
- 
                                Giải bài tập Toán 12 chương 2: Bài ôn tập chương II - Hàm số lũy thừa. Hàm số mũ và hàm số logarit231 116 lượt tải 6 trangĐể giúp các em học sinh lớp 12 học tập hiệu quả môn Toán, tổng hợp bộ tài liệu ôn tập chương 2 Giải tích 12 kèm theo lời giải chi tiết sẽ giúp các em học sinh rèn luyện giải nhanh các bài tập Toán. Môn: Toán 12Chủ đề: Chương 2: Hàm số lũy thừa. Hàm số mũ và hàm số logaritDạng: Bài tậpTác giả: Nguyễn Vân1 năm trước
- 
                                Bài tập trắc nghiệm chuyên đề mũ và logarit có lời giải chi tiết263 132 lượt tải 4 trangTài liệu gồm 5 phần: Lũy thừa; Logarit; Hàm số lũy thừa – hàm số mũ – hàm số logarit; Phương trình, bất phương trình mũ; Phương trình, bất phương trình logarit. Mời các bạn cùng tham khảo để ngày càng học tập tốt hơn môn Toán và đạt được điểm số cao trong các kì thi. Môn: Toán 12Chủ đề: Chương 2: Hàm số lũy thừa. Hàm số mũ và hàm số logaritDạng: Bài tậpTác giả: Nguyễn Vân1 năm trước