Đề giữa HK2 Toán 12
Danh sách Tài liệu
-
Đề giữa HK2 Toán 12 năm 2023 – 2024 trường THPT Quang Trung – Hải Dương
281 141 lượt tải 14 trangXin giới thiệu đến quý thầy, cô giáo và các em học sinh lớp 12 đề kiểm tra giữa học kì 2 môn Toán 12 năm học 2023 – 2024 trường THPT Quang Trung, tỉnh Hải Dương; đề thi gồm 06 trang, hình thức trắc nghiệm với 50 câu, thời gian làm bài 90 phút, có đáp án mã đề 000 101 102 103 104 105 106 107 108 109. Mời bạn đọc đón xem!
Môn: Toán 12Chủ đề: Đề giữa HK2 Toán 12Dạng: Đề thiTác giả: Đào1 năm trước -
Đề giữa học kỳ 2 Toán 12 năm 2023 – 2024 trường THPT Việt Yên 1 – Bắc Giang
215 108 lượt tải 4 trangXin giới thiệu đến quý thầy, cô giáo và các em học sinh lớp 12 đề kiểm tra giữa học kỳ 2 môn Toán 12 năm học 2023 – 2024 trường THPT Việt Yên số 1, tỉnh Bắc Giang. Đề thi được in dưới dạng file PDF gồm 4 trang với 35 câu hỏi trắc nghiệm vfa 4 bài tập tự luận giúp bạn tham khảo, ôn tập và đạt kết quả cao. Mời bạn đọc đón xem!
Môn: Toán 12Chủ đề: Đề giữa HK2 Toán 12Dạng: Đề thiTác giả: Đào1 năm trước -
Đề giữa kỳ 2 Toán 12 năm 2023 – 2024 trường THPT chuyên Vị Thanh – Hậu Giang
199 100 lượt tải 6 trangXin giới thiệu đến quý thầy, cô giáo và các em học sinh lớp 12 đề kiểm tra giữa học kỳ 2 môn Toán 12 năm học 2023 – 2024 trường THPT chuyên Vị Thanh, tỉnh Hậu Giang; đề thi gồm 4 trang có đáp án trắc nghiệm mã đề 590 591 592 593. Mời bạn đọc đón xem!
Môn: Toán 12Chủ đề: Đề giữa HK2 Toán 12Dạng: Đề thiTác giả: Đào1 năm trước -
Đề giữa kỳ 2 Toán 12 năm 2023 – 2024 trường THPT Đặng Thai Mai – Nghệ An
293 147 lượt tải 11 trangXin giới thiệu đến quý thầy, cô giáo và các em học sinh lớp 12 đề kiểm tra giữa học kỳ 2 môn Toán 12 năm học 2023 – 2024 trường THPT Đặng Thai Mai, tỉnh Nghệ An; đề thi có đáp án trắc nghiệm Mã đề 134 Mã đề 210 Mã đề 358 Mã đề 483 Mã đề 108 Mã đề 273 Mã đề 312 Mã đề 431. Mời bạn đọc đón xem!
Môn: Toán 12Chủ đề: Đề giữa HK2 Toán 12Dạng: Đề thiTác giả: Đào1 năm trước -
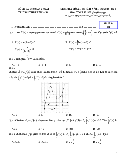
Đề giữa học kì 2 Toán 12 năm 2023 – 2024 trường THPT Bình Sơn – Quảng Ngãi
189 95 lượt tải 8 trangXin giới thiệu đến quý thầy, cô giáo và các em học sinh lớp 12 đề kiểm tra giữa học kì 2 môn Toán 12 năm học 2023 – 2024 trường THPT Bình Sơn, tỉnh Quảng Ngãi; đề thi gồm 06 trang, hình thức trắc nghiệm với 50 câu, thời gian làm bài 90 phút, có đáp án mã đề 001 002 003 004 005 006. Mời bạn đọc đón xem!
Môn: Toán 12Chủ đề: Đề giữa HK2 Toán 12Dạng: Đề thiTác giả: Đào1 năm trước -
Đề giữa học kỳ 2 Toán 12 năm 2023 – 2024 trường THPT Bình Tân – TP HCM
92 46 lượt tải 14 trangXin giới thiệu đến quý thầy, cô giáo và các em học sinh lớp 12 đề kiểm tra giữa học kỳ 2 môn Toán 12 năm học 2023 – 2024 trường THPT Bình Tân, thành phố Hồ Chí Minh; đề thi có đáp án mã đề 119 220 355 477. Mời bạn đọc đón xem!
Môn: Toán 12Chủ đề: Đề giữa HK2 Toán 12Dạng: Đề thiTác giả: Đào1 năm trước -
Đề giữa học kỳ 2 Toán 12 năm 2023 – 2024 trường THPT Dĩ An – Bình Dương
113 57 lượt tải 5 trangXin giới thiệu đến quý thầy, cô giáo và các em học sinh lớp 12 đề kiểm tra giữa học kỳ 2 môn Toán 12 năm học 2023 – 2024 trường THPT Dĩ An, tỉnh Bình Dương; đề thi gồm 04 trang, hình thức trắc nghiệm với 50 câu, thời gian làm bài 90 phút, có đáp án mã đề 165 – 517 – 653 – 837. Mời bạn đọc đón xem!
Môn: Toán 12Chủ đề: Đề giữa HK2 Toán 12Dạng: Đề thiTác giả: Đào1 năm trước -
Đề giữa kì 2 Toán 12 năm 2023 – 2024 trường THPT Trưng Vương – Bình Định
131 66 lượt tải 7 trangXin giới thiệu đến quý thầy, cô giáo và các em học sinh lớp 12 đề kiểm tra giữa học kì 2 môn Toán 12 năm học 2023 – 2024 trường THPT Trưng Vương, tỉnh Bình Định; đề thi có đáp án trắc nghiệm và hướng dẫn chấm điểm tự luận. Mời bạn đọc đón xem!
Môn: Toán 12Chủ đề: Đề giữa HK2 Toán 12Dạng: Đề thiTác giả: Đào1 năm trước -
Đề kiểm tra giữa học kỳ 2 Toán 12 năm 2023 – 2024 sở GD&ĐT Bắc Ninh
117 59 lượt tải 8 trangXin giới thiệu đến quý thầy, cô giáo và các em học sinh lớp 12 đề kiểm tra giữa học kỳ 2 môn Toán 12 năm học 2023 – 2024 sở Giáo dục và Đào tạo tỉnh Bắc Ninh; kỳ thi được diễn ra vào ngày 21 tháng 03 năm 2024; đề thi có đáp án trắc nghiệm mã đề Mã 101 Mã 102 Mã 103 Mã 104. Mời bạn đọc đón xem!
Môn: Toán 12Chủ đề: Đề giữa HK2 Toán 12Dạng: Đề thiTác giả: Đào1 năm trước -
Đề giữa kỳ 2 Toán 12 năm 2023 – 2024 trường THPT Ông Ích Khiêm – Đà Nẵng
220 110 lượt tải 14 trangXin giới thiệu đến quý thầy, cô giáo và các em học sinh lớp 12 đề kiểm tra giữa học kỳ 2 môn Toán 12 năm học 2023 – 2024 trường THPT Ông Ích Khiêm, thành phố Đà Nẵng; đề thi có đáp án và hướng dẫn chấm điểm. Mời bạn đọc đón xem!
Môn: Toán 12Chủ đề: Đề giữa HK2 Toán 12Dạng: Đề thiTác giả: Đào1 năm trước